Example ImageÃÀ¸ß÷

EN
EN
  • ÓªÒµ×Éѯ

    Öйú£º

    Email: marketing@medicilon.com.cn

    ÓªÒµ×ÉѯרÏߣº400-780-8018

    £¨½öÏÞЧÀÍ×Éѯ£¬£¬£¬£¬£¬ÆäËûÊÂÒËÇ벦´ò´¨É³×ܲ¿µç»°£©

    ´¨É³×ܲ¿µç»°: +86 (21) 5859-1500

    ÍâÑó£º

    +1(781)535-1428(U.S.)

    0044 7790 816 954 (Europe)

    Email:marketing@medicilon.com

ÔÚÏßÁôÑÔ¡Á
µã»÷Çл»
News information
ÐÂÎÅ×ÊѶ

ͳ¹Û10ÄêÐÂÒ©×¢²áÉóÅú£¬£¬£¬£¬£¬ÉîÍÚ2017ÆóÒµÑз¢½á¹¹

2018-01-18
|
»á¼ûÁ¿£º
2017ÒѾ­ÒÑÍù£¬£¬£¬£¬£¬ÎÒÃÇÓ­À´ÁË2018ȫеÄÒ»Äê¡£¡£ ¡£¡£»£»£»ØÊ××òÌ죬£¬£¬£¬£¬Ò½Ò©ÐÐÒµ×ß¹ýÁ˽ûÖ¹Ò×È´Ò²ÊǸ÷ÓÐÊÕ»ñµÄÒ»Ä꣬£¬£¬£¬£¬±ÊÕßΪ¸÷ÈËÈ«ÐÄ×¼±¸ÁË2017ÄêÒ©Æ·×¢²áרÌâϵÁÐÎÄÕ¡£¡£ ¡£¡£
 

º£ÄÚÐÂÒ©ÉêÇë×ÜÌåÇéÐÎ

2017ÄêÒѾ­ÒÑÍù£¬£¬£¬£¬£¬¹ØÓÚÒ½Ò©½ç£¬£¬£¬£¬£¬ÒµÄÚ×î¹Ø×¢µÄÒ²Ðí¾ÍÊÇÄê¶ÈÐÂÒ©É걨ÇéÐΣ¬£¬£¬£¬£¬ÒÔÏÂÎÒÃÇÒ»ÆðÀ´¿´¿´¡£¡£ ¡£¡£
 
ÃÀ¸ß÷¡¤MGM(ÖйúÓÎ)¹ÙÍøÕýÍø
ͼ1  2008-2017ÄêÐÂÒ©É걨ÇéÐÎ
 
´Óͼ1¿ÉÒÔ¿´³ö½üÊ®ÄêÐÂÒ©µÄÕûÌåÉ걨Ç÷ÊÆ£¬£¬£¬£¬£¬2015ÄêµÖ´ïÉ걨á¯Á룬£¬£¬£¬£¬Îª2976¸ö£¨ÒÔÊÜÀíºÅ¼Æ£¬£¬£¬£¬£¬ÏÂͬ£©£¬£¬£¬£¬£¬2016Äê´ó·ù¶ÈÏ»¬¡£¡£ ¡£¡£»£»£»¯Ò©ÐÂÒ©É걨ÇéÐÎÓë×ÜÌåÇ÷ÊÆÒ»Ö£¬£¬£¬£¬£¬ÕâÓ뻯ҩ·ÂÖÆÒ»ÖÂÐÔÆÀ¼Û¡¢Ê³Ò©¼à¾Ö¶ÔÒ½Ò©Êг¡µÄ¹æ·¶»¯¼àÊÓÓÐÃܲ»¿É·ÖµÄ¹ØÏµ¡£¡£ ¡£¡£2017Äê×èÖ¹12ÔÂ31ÈÕ£¬£¬£¬£¬£¬×ܵÄÉ걨ÊýÄ¿Ïà±È2016ÄêÓÐËù½µµÍ£¬£¬£¬£¬£¬Îª619¸ö¡£¡£ ¡£¡£ÖµµÃÒ»ÌáµÄÊÇ£¬£¬£¬£¬£¬ÎÒÃÇ¿ÉÒÔ¿´µ½ÔÚ½üÊ®Äê¼ä£¬£¬£¬£¬£¬ÉúÎïÖÆÆ·ÐÂÒ©µÄÉêÇë×ÜÌåÌ¬ÊÆÇ÷ºÃ£¬£¬£¬£¬£¬½ñÄêµÖ´ï×î¸ßΪ193¸ö£¬£¬£¬£¬£¬ÕâÒ²ÊÇÓë½ü¼¸ÄêÉúÎïÒ½Ò©Éú³¤ÈÈÏàÆõºÏ¡£¡£ ¡£¡£
 

2017ÄêÐÂÒ©ÉêÇëÇéÐÎ

1¡¢ÉúÎïÖÆÆ·ÐÂÒ©ÉêÇëÇéÐÎ

1.1¸÷µØÇøÉ걨ÇéÐÎ
2017ÄêÉúÎïÖÆÆ·ÐÂÒ©ÉêÇëµØÇøÈȶȣ¬£¬£¬£¬£¬ÊýÄ¿ÅÅÃû¿¿Ç°3µÄΪÉϺ£¡¢¹ã¶«¡¢½­ËÕ¡£¡£ ¡£¡£
 
ÃÀ¸ß÷¡¤MGM(ÖйúÓÎ)¹ÙÍøÕýÍø
ͼ2  2017Äê¸÷µØÇøÉúÎïÖÆÆ·ÐÂÒ©ÉêÇëÇéÐÎ
 

1.2ÆóÒµÉ걨ÇéÐÎ

ÉúÎïÖÆÆ·ÐÂÒ©ÉêÇëÖУ¬£¬£¬£¬£¬ÊýÄ¿×î¶àµÄΪÉϺ£ÉúÎïÖÆÆ·Ñо¿Ëù£¬£¬£¬£¬£¬´ï7¸ö£»£»£»Æä´ÎÊÇÆë³¡¢½­ËÕºãÈð¡¢°Ù°ÂÉúÎ£¬£¬£¬£¬É걨5¸öÒ©Æ·¡£¡£ ¡£¡£
 
ÃÀ¸ß÷¡¤MGM(ÖйúÓÎ)¹ÙÍøÕýÍø
ͼ3  2017ÄêÉúÎïÖÆÆ·ÐÂÒ©ÉêÇëÆóÒµÅÅÃû
 

1.3ÉúÎïÖÆÆ·1ÀàÉêÇë

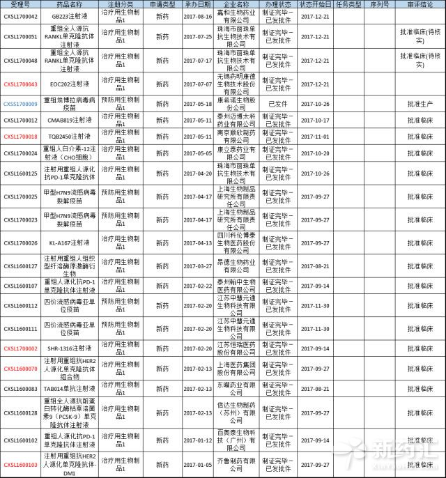
2017ÄêÉúÎïÖÆÆ·1ÀࣨδÔÚº£ÄÚÍâÉÏÊÐÏúÊÛµÄÖÎÁÆÓÃÉúÎïÖÆÆ·¡¢Î´ÔÚº£ÄÚÍâÉÏÊÐÏúÊÛµÄÒßÃ磩ÉêÇë¹²¼Æ76¸ö£¬£¬£¬£¬£¬Õ¼×ܵÄ39.38%£¬£¬£¬£¬£¬ÆäÖÐÖÆÖ¤Íê±ÏÒÑ·¢Åú¼þµÄÓÐ22¸ö£¨Èç±í1Ëùʾ£©£¬£¬£¬£¬£¬ÆäÓà54¸ö¾ù»¹ÔÚÉóÆÀÉóÅúÖС£¡£ ¡£¡£ÁíÍâÔÚÕâЩ1ÀàÐÂÒ©ÉêÇëÖ®ÖÐÓÐ28¸öÌØÊâÉóÅú¡¢2¸öÓÅÏÈÉóÆÀ¡£¡£ ¡£¡£
 
±í1  2017ÄêÉúÎïÖÆÆ·1ÀàÐÂÒ©ÉêÇë»ñÅúÇéÐÎ
ÃÀ¸ß÷¡¤MGM(ÖйúÓÎ)¹ÙÍøÕýÍø
 £¨×¢£ººìÉ«ÎªÌØÊâÉóÅú£¬£¬£¬£¬£¬À¶É«ÎªÌØÊâ¡¢ÓÅÏÈÉóÆÀ£¬£¬£¬£¬£¬ÓÉÓÚÆª·ùÓÐÏÞ£¬£¬£¬£¬£¬½öѡȡÒѾ­ÖÆÖ¤Íê±ÏµÄÒ©Î£¬£¬£¬£¬ÍêÕûÊý¾ÝÇëµã»÷¡°ÔĶÁÔ­ÎÄ¡±£¬£¬£¬£¬£¬½øÈëÒ©ÖÇÐÂÎÅÏÂÔØ£©
 
1.3.1ÌØ¡¢ÓÅÆ·ÖÖÖØ×é°£²©À­²¡¶¾ÒßÃç
2017ÄêÉúÎïÖÆÆ·1ÀàÐÂÒ©µÄÖØÍ·Ï·¿É˵¾ÍÊÇÖØ×é°£²©À­²¡¶¾ÒßÃ磬£¬£¬£¬£¬´Ó×îÏȵ½×îÖÕÅú×¼Éú²ú¶¼Êܵ½º£ÄÚÍâÆÕ±é¹Ø×¢£¬£¬£¬£¬£¬ÕâÒ²ÊÇÐÂÒ»ÂÖÕþ²ß֮Ϲú¼ÒÒ©ÉóÖÐÐĵÄÒ»´Î´´¾Ù¡£¡£ ¡£¡ £¿£¿£¿µÏ£ÅµÉúÎ﹫˾ÖÁ´ËÒ²ÔÚ¹«¹²ÊÓÒ°»ðÈÈÁËÒ»°Ñ£¬£¬£¬£¬£¬Ò²ÎªÒÔºóµÄÉú³¤´òºÃÁË»ù´¡¡£¡£ ¡£¡£
 
1.3.2Îå¸öÌØÊâÉóÅúÆ·ÖÖ»ñÅúÁÙ´²
º£ÄÚÃûÆóÆëÂ³ÖÆÒ©¡¢½­ËÕºãÈð¡¢ÉϺ£Ò½Ò©¼¯ÍÅ¡¢ÄϾ©Ë³Ð¡¢ÎÞÎýÒ©Ã÷¿µµÂ½ñÄêÉ걨µÄÎå¸öÌØÊâÉóÅúÆ·ÖÖ»ñµÃÁËÁÙ´²Åú¼þ¡£¡£ ¡£¡£ÆäÖÐÆëÂ³ÖÆÒ©µÄ×¢ÉäÓÃÖØ×鿹HER2ÈËÔ´»¯µ¥¿Ë¡¿¹Ìå-DM1Ò²»ñµÃÁËÁÙ´²Åú¼þ£¬£¬£¬£¬£¬´ËÒ©ÊÇÆë³µÄDZÁ¦ÉúÎïÖÆÆ·¡£¡£ ¡£¡£ÁíÍâÉϺ£Ò½Ò©µÄÑз¢ÖØÐIJúÆ·×¢ÉäÓÃÖØ×鿹HER2ÈËÔ´»¯µ¥¿Ë¡¿¹Ìå×éÌõÔ¼ÑùÔÚ½ñÄê»ñÅúÁÙ´²£¬£¬£¬£¬£¬´ËÒ©ÊÇÐÂÐÍÈËÓÃÖØ×éµ¥¿Ë¡¿¹ÌåÖÆÆ·£¬£¬£¬£¬£¬ÄâÓÃÓÚ HER2 ÑôÐÔµÄ×ªÒÆÐÔÈéÏÙ°©£¬£¬£¬£¬£¬º£ÄÚÍâÒÑÉÏÊеÄͬ°ÐµãͬÀàÒ©Îï°üÀ¨£ºÂÞÊÏÖÆÒ©µÄÇúÍ×Öéµ¥¿¹£¨Herceptin£©ºÍÅÁÍ×Öéµ¥¿¹£¨Perjeta£©¡£¡£ ¡£¡£¶øÉϺ£Ò½Ò©µÄ×¢ÉäÓÃÖØ×鿹 HER2 ÈËÔ´»¯µ¥¿Ë¡¿¹Ìå×éºÏÎï¾ßÓÐ×ÔÖ÷֪ʶ²úȨ£¬£¬£¬£¬£¬ÏÖÔÚÔÚº£ÄÚÎÞÏàͬ²úÆ·ÉÏÊС£¡£ ¡£¡£
 
1.3.3Ö麣ÀöÖéµ¥¿¹
½ñÄêÖ麣ÀöÖéµ¥¿¹ÓÐ3¸ö£¨ÒÔÊÜÀíºÅ¼Æ£©Ò©Æ·»ñÅúÁÙ´²£¬£¬£¬£¬£¬ÊÕ»ñºÜ´ó£¬£¬£¬£¬£¬»®·ÖÊÇÁ½¸ö¹æ¸ñµÄÖØ×éÈ«ÈËÔ´¿¹RANKLµ¥¿Ë¡¿¹Ìå×¢ÉäÒºÒÔ¼°×¢ÉäÓÃÖØ×éÈËÔ´»¯¿¹PD-1µ¥¿Ë¡¿¹Ìå¡£¡£ ¡£¡£º£ÄÚÄܹ»×ÔÖ÷Ñз¢µ¥¿¹Á¢ÒìÒ©µÄÁúÍ·ÆóÒµ±¾¾Íδ¼¸£¬£¬£¬£¬£¬¶øÀöÖé¾ÍÊÇÆäÖÐһλ¡£¡£ ¡£¡£PD-1µ¥¿¹ÊǵÚÒ»¸öÉÏÊеÄÃâÒß¼ì²éµãµ¥¿¹£¬£¬£¬£¬£¬º£ÄÚÍâÊг¡¹æÄ£Öش󣬣¬£¬£¬£¬ÏÖÔÚº£ÄÚûÓÐÉÏÊУ¬£¬£¬£¬£¬ÇÒÏÖÔÚº£ÄÚ»ñÅúÁÙ´²ÒÔ¡°PD-1¡±Îª°ÐµãµÄµ¥¿¹Ò©Îï³§¼Ò¹²¼Æ9¼Ò£¬£¬£¬£¬£¬¾ºÕùËäȻǿÁÒ£¬£¬£¬£¬£¬µ«ÀöÖéÑз¢Ôúʵ¡¢¼¼Êõ¹¤ÒÕ³ÁµíÉîÖ¿£¬£¬£¬£¬£¬Ô¶¾°ÓÅÒì¡£¡£ ¡£¡£
 
1.3.4 ³£¼û²¡¶¾ÒßÃç»ñÅúÁÙ´²
ÉϺ£ÉúÎïÖÆÆ·µÄH7N9»ùÒòÒßÃç´Ó¸Õ×îÏÈÑÐÖÆÀֳɼ¨Êܵ½ÆÕ±éµÄ¹Ø×¢£¬£¬£¬£¬£¬ÕâΪÒԺ󲡶¾·ÀÖδòÏÂÁËÓÅÒìµÄ»ù´¡¡£¡£ ¡£¡£2017Äê9Ô£¬£¬£¬£¬£¬¼×ÐÍH7N9Á÷¸ÐÒßÃçÅú×¼ÁÙ´²¡£¡£ ¡£¡£ÁíÍâ½­ËÕÖлÛԪͨÑз¢µÄËļÛÑǵ¥Î»Á÷¸ÐÒßÃçÒ²ÔÚ2017Äê11Ô»ñÅúÁÙ´²£¬£¬£¬£¬£¬ÖлÛԪͨ´ËÒßÃç¶ÔÁ÷¸Ð²¡¶¾Ñ¬È¾µÄÔ¤·À¾ßÓиüºÃµÄÇå¾²ÐÔ£¬£¬£¬£¬£¬Äܹ»¸üºÃµØ±£»£»£»¤3ËêÒÔÏÂÓ¤Ó×¶ù£¬£¬£¬£¬£¬Æä²úÆ·²»µ«Äܹ»Ìî²¹º£ÄÚÍâÊг¡¿Õȱ£¬£¬£¬£¬£¬»¹½«Îª½ÓÖÖÈËȺÌṩÇå¾²ÐÔ¸üºÃ¡¢±£»£»£»¤¹æÄ£¸ü¹ãµÄÔ¤·ÀÁ÷¸ÐµÄÒßÃç²úÆ·¡£¡£ ¡£¡£
 

2¡¢»¯Ò©ÐÂÒ©ÉêÇëÇéÐÎ

2.1¸÷µØÇøÉêÇëÇéÐÎ

»¯Ò©Ò»Ö±ÊÇÑз¢µÄ´óÀ࣬£¬£¬£¬£¬2017ÄêµÄÐÂÒ©ÉêÇëËäÈ»²»ÈçÒÔÍù£¬£¬£¬£¬£¬µ«Ò²ÈÔÈ»±ÈÖÐÒ©¡¢ÉúÎïÒ©ÓÐÓÅÊÆ¡£¡£ ¡£¡£ÔÚÌìϸ÷µØÇøÖÐÎÒÃÇ¿ÉÒÔ¿´µ½É걨ÊýÄ¿½Ï¶àµÄΪ½­ËÕ¡¢¹ã¶«¡¢ÉϺ£¡¢Õã½­¡£¡£ ¡£¡£¾ùÊÇÑØº£Å¶¼»á£¬£¬£¬£¬£¬Ò²ÊÇÖÆÒ©´óÆóҵȺ¼¯ËùÔڵأ¨Èçͼ5Ëùʾ£©¡£¡£ ¡£¡£
 ÃÀ¸ß÷¡¤MGM(ÖйúÓÎ)¹ÙÍøÕýÍø
ͼ4  2017Äê¸÷µØÇø»¯Ò©ÐÂÒ©ÉêÇëÇéÐÎ
 

2.2ÆóÒµÉ걨ÇéÐÎ

»¯Ò©ÐÂÒ©É걨ÅÅÃûǰÈýµÄÆóҵΪ½­ËÕºãÈ𡢹㶫¶«Ñô¹â¡¢Õý´óÌìÇ磨°üÀ¨×Ó¹«Ë¾Õý´óÌìÇçÓÐ14¸öÊÜÀí£©¡£¡£ ¡£¡£½­ËÕºãÈð¡¢Õý´óÌìÇçÏòÀ´Îª»¯Ò©Ñз¢ÃûÆó£¬£¬£¬£¬£¬×ÅʵÁ¦Ä;ò»ÍË¡£¡£ ¡£¡£¹ã¶«¶«Ñô¹â½ñÄêDZÁ¦±¬·¢£¬£¬£¬£¬£¬ÔÚ»¯Ò©ÐÂÒ©µÄÉ걨Éϸϳ¬ÆäËû¹«Ë¾£¬£¬£¬£¬£¬¿É˵ÊǺñ»ý±¡·¢¡£¡£ ¡£¡£´Ó2013ÄêÖÁ2017Ä꣬£¬£¬£¬£¬¶«Ñô¹â¹²¼ÆÔÚÒ©ÉóÖÐÐÄÉ걨ÐÂÒ©64¸ö£¬£¬£¬£¬£¬ÆäÖл¯Ò©63¸ö£¬£¬£¬£¬£¬ÆäÖÐÓÐ12¸öÌØÊâÉóÅú¡¢4¸öÓÅÏÈÉóÆÀ¡¢3¸öÖØ´óרÏÁ×ËáÒÀÃ×ËûΤÖÊÁÏÒ©¡¢Á½¸ö¹æ¸ñµÄÁ×ËáÒÀÃ×ËûΤ½ºÄÒ£¬£¬£¬£¬£¬»¯Ò©1£¨1.1£©À๲¼Æ53¸ö¡£¡£ ¡£¡£ÔÚ×ܵÄÐÂÒ©ÉêÇëÖгýÁ˰£Ë÷ÃÀÀ­ßòþ³¦ÈܽºÄÒµÄÁ½¸öÅú¼þ²»Åú×¼£¬£¬£¬£¬£¬ÆäËûËùÓÐÅú×¼ÁÙ´²¡£¡£ ¡£¡ £¿£¿£¿É¼û¹ã¶«¶«Ñô¹âËä˵ÔÚ×ܵÄÊýÄ¿Éϲ»ÈôÓÐЩÆóÒµ£¬£¬£¬£¬£¬µ«Æä½á¹¹µÄÉÙÁ¿Ò©Æ·¾ùÊÇÊг¡ºÃÒ©£¬£¬£¬£¬£¬Ñз¢ÊµÁ¦ÔÚ½Ú½ÚÅÊÉý¡£¡£ ¡£¡£
 ÃÀ¸ß÷¡¤MGM(ÖйúÓÎ)¹ÙÍøÕýÍø
ͼ5  2017Ä껯ҩÐÂÒ©ÉêÇëÆóÒµÅÅÃû
 

2.3 »¯Ò©1£¨1.1£©ÀàÐÂÒ©ÉêÇë

 2017Ä껯ҩÐÂÒ©1£¨1.1£©À๲¼ÆÉ걨324¸ö£¬£¬£¬£¬£¬Õ¼±È83.29%£¬£¬£¬£¬£¬¿É¼ûËäÈ»2017Ä껯ҩÐÂÒ©ÓÐËùïÔÌ­£¬£¬£¬£¬£¬µ«1£¨1.1£©ÀàÐÂҩͬ±ÈÈ´ÔöÌíÁË34.57%¡£¡£ ¡£¡£ÆäÖÐÖÆÖ¤Íê±Ï-ÒÑ·¢Åú¼þµÄÒ©Æ·ÓÐ174¸ö£¨Èç±í2Ëùʾ£©£¬£¬£¬£¬£¬ÉóÅúÍê±Ï-´ýÖÆÖ¤µÄ8¸ö£¬£¬£¬£¬£¬ÖÆÖ¤Íê±Ï-´ý·¢Åú¼þµÄ1¸ö£¬£¬£¬£¬£¬×ܼÆÉóÆÀÍê±ÏµÄÕ¼±È56.48%¡£¡£ ¡£¡£´ÓÊý¾Ý¿ÉÒÔ¿´³ö£¬£¬£¬£¬£¬¹ú¼ÒÏÖÔÚ×·ÇóµÄ²»ÔÙÊÇÖÆÒ©ÊýÄ¿´ó¹ú£¬£¬£¬£¬£¬¶øÊÇÒ©Æ·ÖÊÁ¿´ó¹ú¡£¡£ ¡£¡£Í¬Ê±¹ú¼Ò½á¹¹ÐÂÒ©µÄÕ½ÂÔÖð²½³ÉÊ죬£¬£¬£¬£¬ÉóÆÀÉóÅúËÙÂÊÖð½¥¼ÓËÙ£¬£¬£¬£¬£¬²»»áÔÙ·ºÆðÀÛ»ý´ó×ÚÉóÆÀµÄÇéÐΡ£¡£ ¡£¡£
 
±í2  2017Ä껯ҩ1ÀàÐÂÒ©ÉêÇë»ñÅúÇéÐÎ
ÃÀ¸ß÷¡¤MGM(ÖйúÓÎ)¹ÙÍøÕýÍø
 £¨×¢£º»¬¶¯Éó²éÊý¾Ý±í£¬£¬£¬£¬£¬ºìÉ«ÎªÌØÊâÉóÅú£¬£¬£¬£¬£¬ÓÉÓÚÆª·ùÓÐÏÞ£¬£¬£¬£¬£¬½öѡȡÒѾ­ÉóÆÀÍê±ÏµÄÒ©Î£¬£¬£¬£¬ÍêÕûÊý¾ÝÇëµã»÷¡°ÔĶÁÔ­ÎÄ¡±£¬£¬£¬£¬£¬½øÈëÒ©ÖÇÍøÏÂÔØ£©
 
2.3.1»¯Ò©1ÀàÉêÇëÅÅÃûǰÈý£º¶«Ñô¹â¡¢ºãÈ𡢹㶫ÖÚÉú
2017Äê¹ã¶«¶«Ñô¹âÉ걨µÄ20¸ö»¯Ò©1ÀàÐÂÒ©£¨°´ÊÜÀíºÅ¼Æ£¬£¬£¬£¬£¬ÏÂͬ£©Åú×¼ÁÙ´²£¬£¬£¬£¬£¬Õâ·ÝÕ½¼¨ÈÃÈË̾·þ¡£¡£ ¡£¡£»®·ÖΪÀûËûÆ¥ÂØ¼°ÆäƬ¼Á¡¢¿µ´ïÈðÎ¤ÄÆ¼°ÆäƬ¼Á¡¢HEC68498ÄÆÑμ°Æä½ºÄÒ¼Á¡¢HEC30654AcOH¼°Æä½ºÄÒ¼Á¡¢HEC74647PA¼°Æä½ºÄÒ¼Á£»£»£»ºãÈðÓÐ12¸ö»¯Ò©1ÀàÐÂÒ©»ñÅúÁÙ´²£¬£¬£¬£¬£¬»®·ÖΪSHR9549¼°ÆäƬ¼Á¡¢SHR9146Ƭ¼Á¡¢SHR0532Ƭ¼Á¡¢SHR8554×¢ÉäÒº¡¢SHR1459Ƭ¼Á£»£»£»¹ã¶«ÖÚÉúÒ©Òµ¹²¼Æ10¸ö1ÀàÐÂÒ©»ñÅúÁÙ´²£¬£¬£¬£¬£¬»®·ÖΪZSP0391¼°ÆäƬ¼Á¡¢ZSP1603¼°Æä½ºÄÒ¡£¡£ ¡£¡£
 
2.3.2 117¸öÌØÊâÉóÅú»ñÅúÁÙ´²
2017Äê±»ÁÐÈëÌØÊâÉóÅúµÄ»¯Ò©1ÀàÐÂÒ©£¬£¬£¬£¬£¬ÓÐ117¸ö»ñÅúÁÙ´²£¬£¬£¬£¬£¬Õ¼ÌØÊâÉóÅú×ÜÊýµÄ96.69%£¬£¬£¬£¬£¬ÉóÆÀЧÂʽϸߡ£¡£ ¡£¡£
 
2.3.3 ¼ªÁÖÓ¢ÁªÉеµĻ¯Ò©1.1Àà
2017µÄ»¯Ò©1.1ÀàÏà¶Ô½ÏÉÙ£¬£¬£¬£¬£¬½öÓÐÁ½¸öÊÜÀíºÅ£¬£¬£¬£¬£¬Îª¼ªÁÖÓ¢ÁªÉе¿Ƽ¼¿ª·¢ÓÐÏÞ¹«Ë¾µÄ±½ßòຼ°Æä½ºÄÒ¼Á£¨Èç±í3Ëùʾ£©£¬£¬£¬£¬£¬Ë³Ó¦Ö¢ÎªÔ­·¢ÐÔÇá¡¢ÖжȸßѪѹ£¬£¬£¬£¬£¬¹ØÓÚµ¥¶ÀÓÃÒ©ÄÑÒÔ¿ØÖÆÑªÑ¹µÄ»¼Õߣ¬£¬£¬£¬£¬¿ÉÓëÀûÄò¼Á¡¢¦ÂÊÜÌå×èÖÍ¡¢¸ÆÞ׿¹¼Á»òѪ¹ÜÖ÷ÒªËØ×ª»¯Ã¸ÒÖÖÆ¼Á£¨ACEI£©ÊÊÓᣡ£ ¡£¡£
 
±í3  2017Ä껯ҩ1.1ÀàÐÂÒ©ÉêÇëÇéÐÎ
ÃÀ¸ß÷¡¤MGM(ÖйúÓÎ)¹ÙÍøÕýÍø
 £¨×¢£ººìÉ«ÎªÌØÊâÉóÅú£©
 

3¡¢ÖÐÒ©ÐÂÒ©ÉêÇëÇéÐÎ

3.1¸÷µØÇøÉêÇëÇéÐÎ
ÖÐÒ©ÐÂÒ©É걨µØÇøÂþÑܽ϶àµÄΪ½­ËÕ¡¢ÉϺ£¡¢±±¾©£¬£¬£¬£¬£¬Õ⼸¸öµØÇøÒ²ÊÇÖÐÒ½Ò©¹¤Òµ½ÏΪÅµÄµØÇø¡£¡£ ¡£¡£
 
ÃÀ¸ß÷¡¤MGM(ÖйúÓÎ)¹ÙÍøÕýÍø
ͼ6  2017Äê¸÷µØÇøÖÐÒ©ÐÂÒ©ÉêÇëÇéÐÎ

3.2ÆóÒµÉ걨ÇéÐÎ

 ÖÐÒ©ÐÂÒ©É걨ÆóÒµÅÅÃû¿¿Ç°µÄΪ½­ËÕ¿µÔµÒ©Òµ¡¢ºÍ¼Ç»ÆÆÒÒ½Ò©¡¢¼Ã´¨Ò©Òµ¼¯ÍÅ¡¢±±¾©ÖÐÑÐͬÈÊÌá¢ÖØÇìÇïÎÆ¡£¡£ ¡£¡£ËäÈ»ÊýĿȱ·¦»¯Ò©¡¢ÉúÎïÒ©£¬£¬£¬£¬£¬¿ÉÒÔ˵ÊǺÜÉÙ£¬£¬£¬£¬£¬¿ÉÊÇÔÚÖÐÒ©Éú³¤µ¹Ô˵ÄÇéÐÎÖ®ÖУ¬£¬£¬£¬£¬ÈÔÈ»Äܹ»ÓÐеÄÖÐÒ©Ñз¢£¬£¬£¬£¬£¬ÊµÊô²»Òס£¡£ ¡£¡£
 
ÃÀ¸ß÷¡¤MGM(ÖйúÓÎ)¹ÙÍøÕýÍø
ͼ7  2017ÄêÖÐÒ©ÐÂÒ©ÉêÇëÆóÒµÅÅÃû
  

3.3 ÖÐÒ©ÐÂÒ©ÉêÇë

2017ÄêÖÐÒ©ÐÂÒ©ÉêÇë×ÜÊýδ¼¸£¬£¬£¬£¬£¬½ö37¸ö£¨Èç±í4Ëùʾ£©£¬£¬£¬£¬£¬Ïà±È2016Äê½öÔöÌíÁË5¸ö¡£¡£ ¡£¡£Ëæ×ÅÉç»á¶ÔÒ©Æ·ÖÊÁ¿ÒªÇóµÄÅÊÉý£¬£¬£¬£¬£¬¹ØÓÚÒ©Æ·Çå¾²µÄ×·ËÝÒªÇóÒ²Ô½À´Ô½ÑϿᣬ£¬£¬£¬£¬ÖÐÒ©ÔÚÉú³¤ÖÐÓöµ½ÁËһЩ×èÁ¦¡£¡£ ¡£¡£µ«¾ÍÔÚ2017Äê¡¶ÖÐÒ½Ò©·¨¡·ÕýʽʵÑ飬£¬£¬£¬£¬Ò²ÔÚΪÖÐÒ©¿ªÍ¨ÐµÄÉú³¤ÇþµÀ¡£¡£ ¡£¡£2017ÄêÎÞÒÉÊÇÖÐÒ©ÔÚÐÂʱ´úÐÂÕþϵÄ˳ӦÆÚ£¬£¬£¬£¬£¬ÎÒÃÇÒ²ÏàÐÅÂÄÀú´ËǰµÄµÍ¹È£¬£¬£¬£¬£¬»áÓÐ·×ÆçÑùµÄÐÂ״̬·ºÆð¡£¡£ ¡£¡£
 
±í4  2017ÄêÖÐÒ©ÐÂÒ©ÉêÇëÇéÐÎ
ÃÀ¸ß÷¡¤MGM(ÖйúÓÎ)¹ÙÍøÕýÍø
£¨×¢£º×ÏɫΪÓÅÏÈÉóÆÀ£©
 
3.3.1ÐÂʱÆÚз¢Á¦£¬£¬£¬£¬£¬ÖØÇìÇïÎÆÖÐÒ©1Àà
2017Äê12ÔÂCDE³Ð°ìÁËÖØÇìÇïÎÆ¹«Ë¾ÖÐÒ©1ÀàÐÂÒ©JNSW10032ÒÔ¼°ÆäƬ¼ÁµÄINDÉ걨£¬£¬£¬£¬£¬ÏÖÔÚÔÚÉóÆÀÉóÅúÖС£¡£ ¡£¡£ÕâÒ²ÊÇ2017ÄêΨÖðÒ»ÆäÖÐÒ©1ÀàÐÂÒ©¡£¡£ ¡£¡£¾Ý¹ûÈ»ÐÅÏ¢£¬£¬£¬£¬£¬ÖØÇìÇïÎÆ¹«Ë¾ÓÚ2017Äê8ÔÂ1ÈÕ½¨É裬£¬£¬£¬£¬Ä±»®ÉúÎï¼¼ÊõÑз¢¡¢ÐÂÒ©¼°Ò½ÁÆÆ÷еµÄÑз¢¼°¼¼ÊõתÈᣡ£ ¡£¡ £¿£¿£¿ÉÒÔÕ¹ÍûÕâ¸ö²úÆ·½«»á³ÉΪ¹«Ë¾Î´À´µÄÆ·ÅÆ¡£¡£ ¡£¡£
 
3.3.2  25¸ö6£¨6.1£©ÀàÐÂÒ©
ÖÐÒ©ÐÂÒ©³Ð°ìÖУ¬£¬£¬£¬£¬6Àà½Ï¶à£¬£¬£¬£¬£¬ÓÐ25¸öÊÜÀíºÅ£¬£¬£¬£¬£¬Õ¼±È67.57%¡£¡£ ¡£¡£ÆäÖÐС¶ùÇåÕî¿Ú·þÒº¡¢ÅàÍÁÇåÐÄ¿ÅÁ£±»ÁÐΪÓÅÏÈÉóÆÀÖ®ÁУ¬£¬£¬£¬£¬ÏÖÔÚÒѾ­Åú×¼ÁÙ´²¡£¡£ ¡£¡£ÁíÍâÉÐÓÐÌìºú½ºÄÒ¡¢²¹ÆøÍ¨Âç¿ÅÁ£Ò²ÒѾ­Åú×¼ÁÙ´²¡£¡£ ¡£¡£
Ïà¹ØÐÂÎÅ
¡Á
ËÑË÷ÑéÖ¤
µã»÷Çл»
¡¾ÍøÕ¾µØÍ¼¡¿¡¾sitemap¡¿