Example ImageÃÀ¸ß÷

EN
EN
  • ÓªÒµ×Éѯ

    Öйú£º

    Email: marketing@medicilon.com.cn

    ÓªÒµ×ÉѯרÏߣº400-780-8018

    £¨½öÏÞЧÀÍ×Éѯ£¬£¬£¬£¬£¬£¬ÆäËûÊÂÒËÇ벦´ò´¨É³×ܲ¿µç»°£©

    ´¨É³×ܲ¿µç»°: +86 (21) 5859-1500

    ÍâÑó£º

    +1(781)535-1428(U.S.)

    0044 7790 816 954 (Europe)

    Email:marketing@medicilon.com

ÔÚÏßÁôÑÔ¡Á
µã»÷Çл»
News information
ÐÂÎÅ×ÊѶ

¡°ÉñÒ©¡±¶þ¼×Ë«ëÒÔٴγöÂí£¬£¬£¬£¬£¬£¬Õâ´ÎËüµÄÄ¿µÄ¾¹ÊÇйڣ¡

2020-12-10
|
»á¼ûÁ¿£º
Ã÷ÄáËÕ´ï´óѧҽѧԺºÍUnited Health GroupµÄÑо¿Ö°Ô±·¢Ã÷£¬£¬£¬£¬£¬£¬ÔÚÊÀ½çÉÏ×î´óµÄÒ»ÏîÕë¶ÔCOVID-19»¼ÕßµÄÊÓ²ìÐÔÑо¿ÖУ¬£¬£¬£¬£¬£¬¶þ¼×Ë«ëÒÓëÏÔÖø½µµÍÅ®ÐÔCOVID-19éæÃüΣº¦Ïà¹Ø¡£¡£¡£¡£
¶þ¼×Ë«ëÒÊÇÓÃÓÚ¿ØÖÆ2ÐÍÌÇÄò²¡»¼ÕßѪÌÇˮƽµÄͨÓÃÒ©Îï¡£¡£¡£¡£Ëü»¹¿ÉÒÔïÔÌ­Ñ×Ö¢ÂѰ×£¬£¬£¬£¬£¬£¬ÈçËÆºõ¿ÉʹCOVID-19ÇéÐζñ»¯µÄÖ×Áö»µËÀÒò×Ó-¦Á¡£¡£¡£¡£¸ÃÑо¿¿ËÈÕÒѽÒÏþÔÚ¡¶The Lancet¡·ÔÓÖ¾ÉÏ£¬£¬£¬£¬£¬£¬ÕâÊÇÒ»Ïî»ùÓÚUnited Health Group»¼ÕßµÄÊý¾ÝµÄÅÅÁÐÆÊÎö¡£¡£¡£¡£

¡°ÉñÒ©¡±¶þ¼×Ë«ëÒÔٴγöÂí£¬£¬£¬£¬£¬£¬Õâ´ÎËüµÄÄ¿µÄ¾¹ÊÇйڣ¡

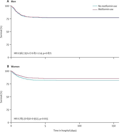
Ñо¿Ð¡×éÆÊÎöÁËÔ¼6000ÃûÒòCOVID-19¶ø×¡ÔºÖÎÁƵÄ2ÐÍÌÇÄò²¡»ò·ÊÅÖ»¼Õߣ¬£¬£¬£¬£¬£¬²¢ÆÀ¹ÀÁËʹÓöþ¼×Ë«ëÒÊÇ·ñÓë½µµÍéæÃüÂÊÏà¹Ø¡£¡£¡£¡£ËûÃÇ·¢Ã÷ÁËÒ»¸ö¹ØÁª£¬£¬£¬£¬£¬£¬ÌÇÄò²¡»ò·ÊÅÖµÄÅ®ÐÔ£¬£¬£¬£¬£¬£¬ÒòCOVID-19¼²²¡×¡Ôº£¬£¬£¬£¬£¬£¬²¢ÇÒÔÚסԺǰ·þÓÃÁË90ÌìµÄ¶þ¼×Ë«ëÒ´¦·½£¬£¬£¬£¬£¬£¬Ó벻ƽÓøÃÒ©µÄÀàËÆ¸¾Å®Ïà±È£¬£¬£¬£¬£¬£¬éæÃüÂʽµµÍÁË21%µ½24%¡£¡£¡£¡£ÄÐÐÔéæÃüÂÊûÓÐÏÔÖø½µµÍ¡£¡£¡£¡£

ÄÐÐÔ£¨A£©ºÍÅ®ÐÔ£¨B£©µÄKaplan-MeierÉúÑÄÇúÏß

ÄÐÐÔ£¨A£©ºÍÅ®ÐÔ£¨B£©µÄKaplan-MeierÉúÑÄÇúÏߣ¨ÈªÔ´:The Lancet£©

ûʹÓöþ¼×Ë«ëÒµÄÈËÓëʹÓöþ¼×Ë«ëÒµÄÈ˵ÄÉúÑÄÂʾÙÐнÏÁ¿

ûʹÓöþ¼×Ë«ëÒµÄÈËÓëʹÓöþ¼×Ë«ëÒµÄÈ˵ÄÉúÑÄÂʾÙÐнÏÁ¿£¨ÈªÔ´:The Lancet£©

ÔÚCox±ÈÀýΣº¦Ä£×ÓÖУ¬£¬£¬£¬£¬£¬TNF¦ÁÒÖÖÆ¼ÁÓëéæÃüÂʽµµÍÎÞÏÔ×ÅÏà¹ØÐÔ£»£»£»£»£»ÔÚÇãÏòÆ¥ÅäÄ£×ÓÖУ¬£¬£¬£¬£¬£¬Óë¶þ¼×Ë«ëÒÆÊÎöÏàͬµÄ±äÁ¿ÏàÆ¥Å䣬£¬£¬£¬£¬£¬TNF¦ÁÒÖÖÆ¼ÁÓëéæÃüÂʽµµÍÎ޹ء£¡£¡£¡£ÔÚ½öÓëÄêËê¡¢ÐԱ𡢲é¶ûÉ­ºÏ²¢Ö¢Ö¸Êý¡¢Ñ×ÐÔ³¦²¡¡¢Àà·çʪÐÔÊàŦÑ׺ÍϵͳÐÔºì°ßÀÇ´¯ÏàÆ¥ÅäµÄÇãÏòÄ£×ÓÖУ¬£¬£¬£¬£¬£¬TNF¦ÁÒÖÖÆ¼ÁÓëéæÃüÂʽµµÍÏÔÖøÏà¹Ø¡£¡£¡£¡£Ðí¶àÆäËû±äÁ¿ÓëËÀÓÚCOVID-19µÄΣº¦ÔöÌí»ò½µµÍÓйØ£¬£¬£¬£¬£¬£¬ÓÈÆäÊÇÑ×Ö¢ÐÔ³¦²¡ºÍÓæÂ2¼¤¶¯¼ÁÖÎÁƵÄÏø´­¡£¡£¡£¡£
¡°ÏñÕâÑùµÄÊÓ²ìÑо¿²»¿ÉµÃ³ö½áÂÛ£¬£¬£¬£¬£¬£¬µ«ÓÐÖúÓÚÒ»Ö±ÔöÌíµÄÖ¤¾Ý¡£¡£¡£¡£ÓëÄÐÐÔÏà±È£¬£¬£¬£¬£¬£¬Å®ÐԵı£»£»£»£»£»¤×÷Óøü´ó£¬£¬£¬£¬£¬£¬Õâ¿ÉÄÜÒâζ×ÅÏûÑ×ÊǶþ¼×Ë«ëÒ½µµÍ¸ÐCOVID-19Σº¦µÄÒªº¦Í¾¾¶¡£¡£¡£¡£²»¹ý£¬£¬£¬£¬£¬£¬»¹ÐèÒª¸ü¶àµÄÑо¿¡£¡£¡£¡£¡±Ã÷ÄáËÕ´ï´óѧҽѧԺҽѧϵÖúÀí½ÌÊÚ¡¢Ò½Ñ§²©Ê¿¿¨ÂÞÁÕ¡¤²¼À­ÂüÌØ£¨Carolyn Bramante£©ËµÁýÕÖ²î±ðµØÀíÇøÓòµÄ´óÐÍÊý¾Ý¿âºÜÉÙ¿ÉÓᣡ£¡£¡£
United Health GroupÆóÒµÑз¢²¿Ö´Ðи±×ܲÃDeneen Vojtaҽѧ²©Ê¿ÌåÏÖ£¬£¬£¬£¬£¬£¬ËäÈ»ÏÖÔÚÕýÔÚ¿ª·¢ÓÐÓõÄÖÎÁÆÒªÁìÀ´¼õÇáSARS-CoV-2²¡¶¾µÄΣº¦£¬£¬£¬£¬£¬£¬µ«Ò²±ØÐèѰÕÒ²¢ÆÀ¹À¾ßÓÐÓÅÒìÇå¾²ÐԵij£ÓÃÒ©Î£¬£¬£¬£¬£¬ÒÔÆÀ¹ÀÆä¿¹²¡¶¾µÄDZÁ¦¡£¡£¡£¡£
×ÜÖ®ÓëÄÐÐÔÏà±È£¬£¬£¬£¬£¬£¬¶þ¼×Ë«ëÒ¹ØÓÚCOVID-19סԺµÄÅ®ÐÔ¾ßÓиüÏÔÖøµÄ±£»£»£»£»£»¤×÷Óᣡ£¡£¡£¶þ¼×Ë«ëÒ¾ßÓÐÓÅÒìµÄÇå¾²ÐÔ¼°¿ÉÓÃÐÔ£¬£¬£¬£¬£¬£¬½ÓÏÂÀ´ÐèÒª¶ÔCOVID-19µÄ»¼Õß¾ÙÐÐǰհÐÔÆÀ¹À£¬£¬£¬£¬£¬£¬ÒÔÏàʶ¸üÓÐÀûµÄ»úÖÆ¡¢Ò©ÎïÒ»Á¬Ê±¼äºÍ×î¼ÑµÄÖÎÁÆÊ±»ú¡£¡£¡£¡£¡°ÉñÒ©¡±»á³Ùµ½µ«ÓÀÔ¶²»»áȱϯ£¬£¬£¬£¬£¬£¬ÆÚ´ý¶þ¼×Ë«ëÒÔÙÒ»´ÎΪÎÒÃÇ´øÀ´ÐµÄÏ£Íû°É£¡

ÁªÏµÃÀ¸ß÷
Email: marketing@medicilon.com.cn
µç»°: +86 (21) 5859-1500£¨×Ü»ú£©
Ïà¹ØÐÂÎÅ
¶þ¼×Ë«ëÒÓÖÀ´ÁË£¡ÕâÒ»´Î¿ÉÄÜûÄÇôÉñ
2020-11-16
¶þ¼×Ë«ëÒ¿ÉνÊǽµÌÇÒ©Öжþ´ú¡°Ã÷ÐÇ¡±£¬£¬£¬£¬£¬£¬ÊÇÖÎÁÆ¡°2ÐÍÌÇÄò²¡¡±µÄÊ×Ñ¡ÒÔ¼°È«³ÌÒ©Î£¬£¬£¬£¬£¬Ò²ÊÇÁªºÏÖÎÁÆ2ÐÍÌÇÄò²¡µÄÊ×ѡҩÎï¡£¡£¡£¡£×î½üÓÐÑо¿Õß·¢Ã÷ÔÚÏß³æºÍÈËÀàÔ­´úϸ°ûÖУ¬£¬£¬£¬£¬£¬µ±ÔÚÆäÊÙÃüÍíÆÚÌṩ¶þ¼×Ë«ëÒʱ£¬£¬£¬£¬£¬£¬¶þ¼×Ë«ëÒ»áËõ¶ÌÃüÃü£¬£¬£¬£¬£¬£¬ÕâÓë¶þ¼×Ë«ëÒÔÚÄêÇáÉúÎïÌåÖÐµÄÆð¾¢×÷ÓÃÏà·´¡£¡£¡£¡£
JCI£º¿ÆÑ§¼Ò·¢Ã÷ÖÎÁÆÔçÆÚ2ÐÍÌÇÄò²¡µÄDZÔÚ;¾¶
2016-08-11
×î½ü£¬£¬£¬£¬£¬£¬Ò»Ïî½ÒÏþÔÚ¹ú¼ÊÔÓÖ¾Journal of Clinical InvestigationÉϵÄÑо¿±¨¸æÖУ¬£¬£¬£¬£¬£¬À´×ÔSanford Burnham Prebysҽѧ·¢Ã÷Ñо¿ËùµÄÑо¿Ö°Ô±Í¨¹ýÑо¿Åбð³öÁËÒ»ÖÖÒÖÖÆ2ÐÍÌÇÄò²¡±¬·¢µÄDZÔÚÒ©Îï°Ðµã£¬£¬£¬£¬£¬£¬Ñо¿Ð§¹ûÅú×¢£¬£¬£¬£¬£¬£¬×è¶Ï¼¡ÈâÖÐϸ°ûÖÐµÄÆÏÌÑÌǸÐÊÜÆ÷»ò¿É¸ÄÉÆ»úÌå¶ÔÒȵºËصķ´Ó¦ÐÔ¡£¡£¡£¡£
FDAÅú×¼AdlyxinÓÃÓÚÖÎÁÆ2ÐÍÌÇÄò²¡
2016-08-03
2016Äê7ÔÂ28ÈÕ£¬£¬£¬£¬£¬£¬ÃÀ¹úʳÎïºÍÒ©Æ·î¿Ïµ¾Ö(FDA)Åú×¼Adlyxin(lixisenatide)ÓÃÓÚÖÎÁÆ2ÐÍÌÇÄò²¡¡£¡£¡£¡£
¡Á
ËÑË÷ÑéÖ¤
µã»÷Çл»
¡¾ÍøÕ¾µØÍ¼¡¿¡¾sitemap¡¿