Example ImageÃÀ¸ß÷

EN
EN
  • ÓªÒµ×Éѯ

    Öйú£º

    Email: marketing@medicilon.com.cn

    ÓªÒµ×ÉѯרÏߣº400-780-8018

    £¨½öÏÞЧÀÍ×Éѯ£¬£¬£¬ÆäËûÊÂÒËÇ벦´ò´¨É³×ܲ¿µç»°£©

    ´¨É³×ܲ¿µç»°: +86 (21) 5859-1500

    ÍâÑó£º

    +1(781)535-1428(U.S.)

    0044 7790 816 954 (Europe)

    Email:marketing@medicilon.com

ÔÚÏßÁôÑÔ¡Á
µã»÷Çл»
News information
ÐÂÎÅ×ÊѶ

GLP-1¡°¾ºËÙÈü¡±ºÎÒÔ¶á¿ý£¿£¿£¿£¿

2024-05-23
|
»á¼ûÁ¿£º

5ÔÂ21ÈÕ£¬£¬£¬Öйú¹ú¼ÒÒ©¼à¾Ö£¨NMPA£©¹ÙÍø×îй«Ê¾£¬£¬£¬ÀñÀ´¹«Ë¾µÝ½»µÄÌæ¶û²´ëÄ£¨Tirzepatide£¬£¬£¬ÉÌÆ·Ãû£ºÄ´ï·åMounjaro£©×¢ÉäÒºÉÏÊÐÉêÇëÒÑ»ñµÃÅú×¼£¬£¬£¬ÓÃÓÚÖÎÁƳÉÈË2ÐÍÌÇÄò²¡»¼ÕßѪÌÇ¿ØÖƵÄÔöÇ¿ÖÎÁÆ¡£¡£¡£¡£

´Ëǰ5ÔÂ16ÈÕ£¬£¬£¬ºãÈðÒ½Ò©Ðû²¼½«ÆìÏÂ×ÔÑÐGLP-1²úÆ·×éºÏµÄ´óÖлªÇøÍâÈ«ÇòÈ¨ÒæÊÚȨ¸øÃÀ¹úHercules¹«Ë¾¡£¡£¡£¡£³ýÁË»ñµÃÊÚȨÓöÈ£¬£¬£¬´Ë´ÎBDÉúÒâºó£¬£¬£¬ºãÈ𻹽«³ÉΪÃÀ¹úHercules¹«Ë¾¹É¶«Ö®Ò»[1]¡£¡£¡£¡£

´Ë´ÎºãÈð×ÔÑÐ×éºÏ°üÀ¨Èý¿îGLP-1²úÆ·¡£¡£¡£¡£

? HRS9531

GLP-1R/GIPRË«°Ðµã¼¤¶¯¼Á£¬£¬£¬´¦ÓÚIIIÆÚÁÙ´²½×¶Î£¬£¬£¬ÆÀ¹ÀÆäÔÚ³¬ÖØ»ò·ÊÅÖÊÜÊÔÕßÖÐÒ»Á¬48ÖܵÄÓÐÓÃÐÔºÍÇå¾²ÐÔ¡£¡£¡£¡£Í¬°ÐµãÒ©ÎïÌæ¶û²´ëÄ£¨Tirzepatide£¬£¬£¬ÀñÀ´£©×èÖ¹2023Äê11Ô£¬£¬£¬ÔÚÃÀ¹úÍê³É2ÐÍÌÇÄò²¡ºÍ·ÊÅÖµÄ˫˳Ӧ֢Åú×¼£»£»£»£»5ÔÂ21ÈÕNMPA¹«Ê¾£¬£¬£¬Æä³ÉÈË2ÐÍÌÇÄò²¡Ë³Ó¦Ö¢ÒÑÔÚ»ª»ñÅú£¬£¬£¬ºã¾ÃÌåÖØ¹ÜÀí˳Ӧ֢ÉÐÔÚÉóÆÀÖС£¡£¡£¡£

? HRS-4729

ÏÂÒ»´ú³¦´ÙÒÈËØ²úÆ·£¬£¬£¬´¦ÓÚÁÙ´²Ç°¿ª·¢½×¶Î£¬£¬£¬¿Éͨ¹ý¼¤»î¶à°Ðµã£¬£¬£¬±£»£»£»£»¤ÒȵºµÄͬʱÌá¸ßÒȵºËØÉøÍ¸£¬£¬£¬¿ØÖÆÑªÌÇ£¬£¬£¬ÓÐÍûʵÏÖ¸üºÃµÄ¼õÖØÐ§¹ûºÍÖÎÁÆ´úл¹¦Ð§Õϰ­Ïà¹Ø¼²²¡¡£¡£¡£¡£ÏÖÔÚÈ«ÇòÉÐÎÞͬÀà²úÆ·ÉÏÊС£¡£¡£¡£

? HRS-7535

ÐÂÐͿڷþС·Ö×ÓGLP-1ÊÜÌ弤¶¯¼Á£¬£¬£¬´¦ÓÚIIÆÚÁÙ´²½×¶Î£¬£¬£¬ÓÃÓÚÖÎÁÆ2ÐÍÌÇÄò²¡ºÍ·ÊÅÖ¡£¡£¡£¡£È«Çò¹æÄ£ÄÚÉÐÎÞ¿Ú·þС·Ö×ÓGLP-1ÊÜÌ弤¶¯¼ÁÉÏÊС£¡£¡£¡£

´Ë´ÎÉæ¼°µÄÈý¿îºãÈðGLP-1²úÆ·£¬£¬£¬¾ù¾ßÓвî±ð»¯Á¢ÒìÖ®´¦¡£¡£¡£¡£

¹ØÓÚ¼´½«¼ÓÈë»òÕýÔÚÕⳡ¡°¾ºËÙÈü¡±ÖгÁ¸¡µÄGLP-1Íæ¼Ò£¬£¬£¬¸ÃÔõÑùÓ¦¶ÔÇ÷Ïò¶àÔª»¯µÄ¾ºÕùÌ¬ÊÆ£¿£¿£¿£¿»ùÓڴ˴Ρ°¹ú²ú¡±GLP-1µÄÔ¾½ø£¬£¬£¬ÎÒÃǿɾÍÒÔÏÂÈýµã¿¼Á¿½á¹¹¡£¡£¡£¡£

ÐÂÐͰÐÏò»úÖÆ

2024Äê5ÔÂ15ÈÕ£¬£¬£¬À´×Ôµ¤Âó¸ç±¾¹þ¸ù´óѧŵºÍŵµÂ»ù½ð»á»ù´¡´úлÑо¿ÖÐÐĵÄÑо¿Ö°Ô±ÔÚ¡¶×ÔÈ»¡·ÔÓÖ¾ÉϽÒÏþÁËÒ»ÖÖÁ¢ÒìµÄË«¹¦Ð§·Ö×Ó£ºGLP-1¨CMK-801µÄÖ÷ÒªÔ¤ÁÙ´²Ñо¿Ð§¹û[2]¡£¡£¡£¡£

GLP-1¨CMK-801µÄÖ÷ÒªÔ¤ÁÙ´²Ñо¿Ð§¹û.jpg

GLP-1Óë¼õÖØ£ºGLP-1ÊÜÌ弤¶¯¼Á²»µ«´Ì¼¤ÒȵºËØÉøÍ¸ÖÎÁÆÌÇÄò²¡£¬£¬£¬»¹ÄÜͨ¹ýÓ°Ïì´óÄÔÖÐÓë¿ä½±»ØÂ·Ïà¹ØµÄ¶à°Í°·ÐźÅͨ·À´ÒÖÖÆÊ³ÓûºÍµ÷¿ØÒûʳ¡£¡£¡£¡£

NMDAÊÜÌåÓë¼õÖØ£ºNMDAÊÜÌåÔÚÉñ¾­Í»´¥¿ÉËÜÐÔÖÐÆðÒªº¦×÷Ó㬣¬£¬Óë·ÊÅÖÓÐÁªÏµ¡£¡£¡£¡£ÔçÆÚÕë¶ÔNMDAÊÜÌåµÄ¼õÖØÖÎÁÆÒò¸±×÷Óã¨ÈçÌåÎÂÒì³£Éý¸ßºÍÌ«¹ý»îÔ¾£©¶øÊÜ×è¡£¡£¡£¡£

GLP-1¨CMK-801ͨ¹ýÒ»ÖÖÌØÊâµÄ¶þÁò¼ü£¬£¬£¬½«NMDAÊÜÌåÞ׿¹¼ÁMK-801ÓëGLP-1ÀàËÆÎïÅþÁ¬¡£¡£¡£¡£ÊµÑéÊý¾ÝÆðÔ´ÏÔʾ£¬£¬£¬ÆäÔÚ¼õÇáСÊóÌåÖØ¡¢ïÔÌ­ÌåÖ¬Á¿ºÍ½µµÍѪ½¬µ¨¹Ì´¼Ë®Æ½·½Ã棬£¬£¬±Èµ¥¶ÀʹÓÃGLP-1»òMK-801¸üÓÐÓᣡ£¡£¡£¶øÔÚÇå¾²ÐÔ·½Ã棬£¬£¬ÊµÑéÊý¾ÝδÏÔʾ³ö¶ÔСÊóµÄ¸ÎÔ๦Ч¡¢ÐÄÂÉ¡¢¶¯ÂöѪѹºÍÐÄÔàÖØÁ¿±¬·¢²»Á¼Ó°Ï죬£¬£¬ÇÒδÊӲ쵽Ìåιý¸ß»òÌ«¹ýÔ˶¯µÄ¸±×÷Óᣡ£¡£¡£

×÷ΪһÖÖÐÂÐÍË«¹¦Ð§·Ö×Ó£¬£¬£¬GLP-1¨CMK-801ÏÔʾ³öÔÚ¼õÖØÖÎÁÆÁìÓòµÄÖØ´óDZÁ¦¡£¡£¡£¡£¸ÃÑо¿Á¢ÒìµÄÒ©Àíѧ²ßÂÔÒÔ¼°Ò©Îïµ÷ÀíÉñ¾­Í»´¥¿ÉËÜÐԵķ¢Ã÷×ÅʵΪ¼õÖØÁìÓò´øÀ´Òªº¦ÐÔµÄÏ£Íû¡£¡£¡£¡£

µ«ÓÉÓÚʵÑéÖÐСÊó½ö½ÓÊÜÖÎÁÆÁ½ÖÜ£¬£¬£¬Æäºã¾ÃÓÐÓÃÐÔºÍÇå¾²ÐÔÈÔÐè½øÒ»²½ÑéÖ¤¡£¡£¡£¡£±ðµÄ£¬£¬£¬¸ÃÒ©ÎïÔÚ¼õÖØÓë´úлÏà¹ØÐ­Í¬×÷ÓõÄÏêϸ»úÖÆ£¬£¬£¬ÒÔ¼°¸øÒ©¼Æ»®µÄÓÅ»¯£¬£¬£¬Ò²ÊÇδÀ´Ñо¿µÄÖ÷ҪƫÏò¡£¡£¡£¡£

ÍØ¿íË³Ó¦Ö¢ÖÆ

2024Äê4ÔÂ30ÈÕ£¬£¬£¬¶íÂÞ˹¿ÆÑ§¼ÒÔÚ¡¶¹ú¼Ê·Ö×Ó¿ÆÑ§ÔÓÖ¾¡·½ÒÏþÁ˽üÄêÀ´GLP-1ÊÜÌ弤¶¯¼ÁÐÄѪ¹Ü±£»£»£»£»¤×÷ÓÃÑо¿Ï£ÍûµÄϵͳÊáÀí£¬£¬£¬ÌáÐÑÁËGLP-1ÊÜÌ弤¶¯¼ÁÔÚÐÄѪ¹Ü±£»£»£»£»¤·½ÃæµÄ×÷Óò»µ«½öÊǼõÖØºÍ½µÌÇ´øÀ´µÄ¼ä½ÓÀûÒæ[3]¡£¡£¡£¡£

GLP-1ÊÜÌ弤¶¯¼ÁÔÚÐÄѪ¹Ü±£»£»£»£»¤·½ÃæµÄ×÷ÓÃ.jpg

GLP-1ÀàËÆÎïÔÚ2ÐÍÌÇÄò²¡ÖÎÁÆÖУ¬£¬£¬²»µ«¿ÉÒÔ¿ØÖÆÑªÌÇ¡¢ÌåÖØ£¬£¬£¬¸üÖ÷ÒªµÄÊÇ¿ÉÒÔͨ¹ý¼¤»îÐÄѪ¹Ü×éÖ¯µÄGLP-1ÊÜÌ壬£¬£¬¶à;¾¶¡¢¶à»·½ÚÖ±½Ó±£»£»£»£»¤ÐÄѪ¹Ü£¬£¬£¬°üÀ¨ÒÖÖÆÐļ¡Ï¸°ûéæÃü£¬£¬£¬¸ÄÉÆÐļ¡ÄÜÁ¿´úл£¬£¬£¬¼õÇáÑ×Ö¢ºÍÑõ»¯Ó¦¼¤µÈ£¬£¬£¬Óɴ˿ɸÄÉÆÐĹ£¡¢ÐÄË¥µÈÐÄѪ¹Ü¼²²¡µÄÔ¤ºó£¬£¬£¬ÓÐÍûÍÆ¶¯ÒÔGLP-1Ϊ»ù´¡µÄÈ«ÐÂÐÄѪ¹Ü¼²²¡·ÀÖβßÂÔºÍÒ©ÎïµÄ½µÉú¡£¡£¡£¡£

½ñÄê5ÔÂ8ÈÕ£¬£¬£¬FDAÕýʽÅú×¼ÁË˾ÃÀ¸ñ³ëÄ£¨ÉÌÆ·Ãû£ºWegovy£¬£¬£¬ÅµºÍŵµÂ£©ÓÃÓÚÐÄѪ¹Ü¼²²¡µÄÖÎÁÆ¡£¡£¡£¡£ÍØ¿í˳Ӧ֢£¬£¬£¬»ò³ÉGLP-1ÃǵıØÕùÖ®µØ¡£¡£¡£¡£

½èÁ¦³åÏß

ΪÁËÐγɲî±ð»¯ÓÅÊÆ£¬£¬£¬Ó¦³ä·Ö½èÖúCROÆóÒµµÄʵÁ¦£¬£¬£¬Ëõ¶Ì¿ª·¢ÖÜÆÚ¡¢Ìá¸ß¿ª·¢Ð§ÂÊ¡£¡£¡£¡£

ÃÀ¸ß÷ÒÀÍжþÊ®Äê»ýÀÛÐγɵļ¼ÊõÓÅÊÆºÍÑз¢Æ½Ì¨ÓÅÊÆ£¬£¬£¬Î§ÈÆGLP-1ÐÂÒ©Ñз¢ÐèÇóÒ»Ö±ÍØÕ¹¹¤ÒµÁ´ÉÏÏÂÓÎÁìÓò£¬£¬£¬Å䱸ÓзÖ×Ó¿Ë¡ÊÒ¼°»ùÓÚÂѰ×Öʾ§ÌåѧµÄÒ©Îï·¢Ã÷Óëɸѡƽ̨ºÍGMP»ò·ÇGMPÖÆ¼Á³µ¼ä£¬£¬£¬½¨ÉèÁË·ÊÅÖ¼°ÌÇÄò²¡´ó/СÊóÄ£×Ó£¬£¬£¬ÐÎÓñ³É·½Î»Ò»Ì廯µÄÁÙ´²Ç°CROЧÀÍģʽ¡£¡£¡£¡£

×èÖ¹2024Äê4Ô£¬£¬£¬ÃÀ¸ß÷ÒÑÀÖ³ÉÖúÁ¦8¸öGLP-1Ò©Îï»ñÅúÁÙ´²£¬£¬£¬ÆäÖУº3¸öGLP-1Ò©ÎïNMPA/FDAͬʱ»ñÅú£¬£¬£¬1¸öGLP-1Ò©Îï»ñµÃÃÀ¹úFDA¡¢ÖйúNMPA¡¢°ÄÖÞTGAÈý¹úÅú×¼£¬£¬£¬ÁíÍâÓжà¸öGLP-1ÏîÄ¿ÔÚÑУ¬£¬£¬ÔÚÏà¹ØÁìÓò»ýÀÛÁ˸»ºñµÄÂÄÀú¡£¡£¡£¡£

GLP-1 ҩѧÑо¿

ÏÖÔÚԼĪ80%µÄÂѰ׶àëÄҩͨ¹ý×¢Éä;¾¶¸øÒ©¡£¡£¡£¡£Îª¸ÄÉÆ¶àëÄÀàÒ©ÎïÎȹÌÐÔ£¬£¬£¬ÑÓÉì¶àëÄÒ©ÎïµÄÌåÄÚ°ëË¥ÆÚ£¬£¬£¬Ê¹Æä³¤Ð§»¯£¬£¬£¬³ýÁ˶ԶàëľÙÐзÖ×ӽṹµÄˢУ¬£¬£¬Èç½ÓÄɰ±»ùËáÌæ»»»ò»·»¯¡¢PEGÐÞÊΡ¢Èںϳ¤Ð§»¯Æ¬¶Ï£¨ÓëFcÈںϡ¢ÓëÈËѪÇå°×ÂѰ×Èںϣ©¡¢×ººÏÖ¬·¾ËáÁ´µÈ²ßÂÔ¡£¡£¡£¡£»£»£»£»¹¿Éͨ¹ýÖÆ¼ÁѧÊֶθÄÉÆ¶àëÄÀàÒ©ÎïµÄÎüÊÕ²¢Ê¹Æä³¤Ð§»¯£¬£¬£¬Äܹ»ÓÐÓÃËõ¶ÌÒ©Æ·Ñз¢ÖÜÆÚ¡¢½µµÍÒ©Æ·Ñз¢±¾Ç®£¬£¬£¬Ò²¿ÉÄÜΪҩÎïʹÓÿª·¢ÐµÄ˳Ӧ֤¡£¡£¡£¡£

×¢ÉäÐͶàëÄÒ©ÎïÖ÷ÒªÖÆ¼ÁÀàÐÍΪ¶³¸É·Û¡£¡£¡£¡£½üÄêÀ´£¬£¬£¬Ëæ×ÅÖÖÖÖµÝҩϵͳµÄÉú³¤£¬£¬£¬Ñо¿Ö°Ô±¿ª·¢Á˶àëÄÒ©Îï¶àÖÖ²î±ðµÄÖÆ¼ÁÀàÐÍ£¬£¬£¬·ºÆð³ö¶àÖÖ¸øÒ©Í¾¾¶¡£¡£¡£¡£ÏÖÔÚ¶àëÄÒ©ÎïÖÆ¼ÁÓÐ×¢ÉäÓÃ΢Çò¡¢Ö²Èë¼Á¡¢»ºÊÍÖ¬ÖÊÌ塢΢Èé¡¢ÄÉÃ×Á£¡¢¿Ú·þ³¤Ð§Æ¬¼Á/½ºÄÒ¼Á ¡¢¿Ú·þ΢Á£¡¢ ΢ÕëÌù¼Á ¡¢¾­Æ¤Î¢Á£¸øÒ©ÏµÍ³µÈ¡£¡£¡£¡£

ÃÀ¸ß÷¿ÉÌṩGLP-1Ò©ÎïµÄÖÊÁÏÒ©¹¤ÒÕ¿ª·¢ºÍÖÆ¼ÁÑз¢Ð§ÀÍ¡£¡£¡£¡£ÔÚÈ·±£Ñз¢ÖÊÁ¿µÄ»ù´¡ÉÏ£¬£¬£¬ÃÀ¸ß÷ÍŶÓͨ¹ýÑϽ÷µÄÊÔÑ鼯»®Éè¼Æ£¨DOE£©¡¢×¨Òµ»¯µÄÑз¢¼¼Êõ¡¢±ê×¼»¯µÄÏîÄ¿¹ÜÀí¡¢¹æ·¶»¯µÄÊÔÑé²Ù×÷¡¢¸ßЧµÄ¶à·½Ïàͬ£¬£¬£¬Ò»Á¬ÖúÁ¦¿Í»§µÄGLP-1Ò©ÎïÑз¢¡£¡£¡£¡£

GLP-1 ҩЧѧÆÀ¼Û

ÃÀ¸ß÷¶àÄêÀ´Éî¸û¶¯ÎïÁìÓò£¬£¬£¬ÎªÒ©ÎïÑз¢ÌṩºÏÊʵ͝ÎïÄ£×Ó£¬£¬£¬ ¿ÉÌṩ¶àÖÖÓÃÓÚÆÀ¹ÀGLP-1Ò©ÎïµÄÌÇÄò²¡Ä£×Ó¼°·ÊÅÖÄ£×Ó£¬£¬£¬ÔÚAAALACÈÏÖ¤µÄÇéÐÎÏÂÍê³ÉÄ£×Ó¶¯ÎïµÄ½¨Ä£ºÍËÇÑø£¬£¬£¬²¢ÒÔGLP-likeµÄ¸ß±ê×¼Íê³ÉÏà¹ØÒ©Ð§Ñ§ÆÀ¼ÛÊÔÑé¡£¡£¡£¡£

? ¶àÖÖʵÑ鶯Îï
Äö³ÝÀࣺСÊó/´óÊó¡¢ÍÃ×Ó
·ÇÄö³ÝÀࣺ±È¸ñÈ®¡¢Ð¡ÐÍÖí¡¢·ÇÈËÁ鳤ÀදÎï

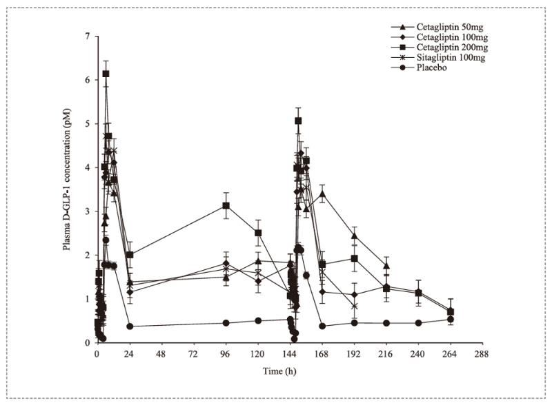
? ÃÀ¸ß÷°¸Àý£º»îÐÔGLP-1¼ì²â
ÕâÏîÑо¿ÊÇÔÚһС²¿·ÖÑ¡¶¨µÄѪÌÇÕý³£¿µ½¡ÊÜÊÔÕßÖоÙÐеÄ¡£¡£¡£¡£±¾´ÎÑо¿ÓÉÖÐÄÏ´óÑ§ÏæÑÅҩѧԺ¡¢ÄϾ©Ò½¿Æ´óѧµÚÒ»Á¥ÊôÒ½Ôº¡¢Ê¢ÊÀÌ©¿ÆÉúÎïÒ½Ò©¼¼Êõ£¨ËÕÖÝ£©ÓÐÏÞ¹«Ë¾¡¢±±¾©ÅµºÍµÂÃÀÒ½Ò©¼¼ÊõÓÐÏÞ¹«Ë¾ÁªºÏ¾ÙÐУ¬£¬£¬ÆäÖлîÐÔGLP-1¼ì²âͨ¹ýÃÀ¸ß÷¾ÙÐС£¡£¡£¡£

ʵÑéЧ¹ûÅú×¢£¬£¬£¬Ê¢¸ñÁÐÍ¡£¡£¡£¡£¨Cetagliptin£©ÔÚ¼ÁÁ¿¡Ý50mgʱÌìÌì¸øÒ©Ò»´ÎÌåÏÖ³ö×îСµÄ»ýÀÛ£¬£¬£¬ÔÚ24Сʱ¸øÒ©¾àÀëÄÚÒÖÖÆÑª½¬DPP-4»îÐÔµÖ´ï80%ÒÔÉÏ£¬£¬£¬ÇÒÔöÌí»îÐÔGLP-1ˮƽ¶ø²»±¬·¢µÍѪÌÇ¡£¡£¡£¡£ÇÒÊ¢¸ñÁÐÍ¡£¡£¡£¡£¨Cetagliptin£©¾ßÓÐÓÅÒìµÄÁÙ´²ÄÍÊÜÐÔºÍÇå¾²ÐÔ¡£¡£¡£¡£

»îÐÔD-GLP-1¼ì²â.jpg

»îÐÔD-GLP-1¼ì²â

GLP-1 Ò©´ú¶¯Á¦Ñ§ÆÀ¼Û

ÃÀ¸ß÷ÔÚGLP-1Ïà¹ØÒ©ÎïµÄÌåÄÚÆÊÎöÖÐÌṩÁ˶àÖÖ¸ßÖÊÁ¿µÄ²âÊÔÒªÁ죬£¬£¬Í¨Ì«¹ýÎö¶¯ÎïÌåÄÚÊÕÂÞµÄѪ½¬/ѪÇåÑù±¾£¬£¬£¬Îª¿Í»§Ìṩ¿É¿¿ÓÅÖʵÄPKÊý¾Ý¡£¡£¡£¡£

Compound-A-µÄÒ©´ú¶¯Á¦Ñ§²ÎÊý.jpg

Compound A µÄÒ©´ú¶¯Á¦Ñ§²ÎÊý

ʵÑéЧ¹ûÏÔʾ£¬£¬£¬Ñª½¬Ò©Îï̻¶Á¿£¨Cmax ºÍAUC(0-t)£©µÄÔöÌíÓë¸øÒ©¼ÁÁ¿µÄÔöÌí±ÈÀý»ù±¾Ò»Ö¡£¡£¡£¡£µ¥´ÎƤϸøÓè0.04mg/kg µÄ±ÈÕÕÆ·×¢ÉäÒººÍ0.04 mg/kg µÄCompound A×¢ÉäÒººó£¬£¬£¬Ïà¶ÔÉúÎïʹÓöÈΪ83.17%¡£¡£¡£¡£

ÃÀ¸ß÷²¿·ÖÖúÁ¦GLP-1ÏîÄ¿°¸Àý

? MDR-001
2023Äê4ÔÂ20ÈÕ£¬£¬£¬¾ÝCDE¹ÙÍø£¬£¬£¬µÂî£ÖÇÒ©¿Æ¼¼MDR-001Ƭ»ñÅúÁÙ´²£¬£¬£¬Ä⿪չÖÎÁÆ2ÐÍÌÇÄò²¡ºÍ·ÊÅÖ»ò³¬ÖØ»¼ÕßµÄÌåÖØ¹ÜÀíµÄÑо¿¡£¡£¡£¡£MDR-001ÊǵÂî£ÖÇҩͨ¹ýÆäAIÇý¶¯Ò©Îï·¢Ã÷ƽ̨Molecule Pro¿ª·¢µÄÒ»¿î·Ç¾ºÕùÐÔ¿Ú·þGLP-1RС·Ö×Ó¼¤¶¯¼Á£¬£¬£¬ÒÑÓÚ2022Äê12Ô»ñFDAÅú×¼¿ªÕ¹ÁÙ´²¡£¡£¡£¡£ÁÙ´²Ç°Ñо¿ÏÔʾ£¬£¬£¬MDR-001¾ßÓÐÓÅÒìµÄҩЧºÍÑ¡ÔñÐÔ£¬£¬£¬ÓÅÒìµÄADMEºÍ¿Ú·þÉúÎïʹÓöÈÒÔ¼°¸üÓŵÄÒ©´ú¶¯Á¦Ñ§ÌØÕ÷£¬£¬£¬¾ß±¸best-in-classDZÁ¦¡£¡£¡£¡£

×÷ΪµÂî£ÖÇÒ©µÄÏàÖúͬ°é£¬£¬£¬ÃÀ¸ß÷ΪMDR-001ÌṩÁËÖÊÁÏÒ©¹¤ÒÕ¿ª·¢ºÍÖÆ¼ÁÑз¢Ð§ÀÍ¡£¡£¡£¡£ÔÚÈ·±£Ñз¢ÖÊÁ¿µÄ»ù´¡ÉÏ£¬£¬£¬ÃÀ¸ß÷ͨ¹ýÑϽ÷µÄÊÔÑ鼯»®Éè¼Æ¡¢×¨Òµ»¯µÄÑз¢¼¼Êõ¡¢±ê×¼»¯µÄÏîÄ¿¹ÜÀí¡¢¹æ·¶»¯µÄÊÔÑé²Ù×÷¡¢¸ßЧµÄ¶à·½Ïàͬ£¬£¬£¬¼ÓËÙÁËÑз¢Àú³Ì£¬£¬£¬¶ÔÕâÒ»ÖØÁ¿¼¶GLP-1R¼¤¶¯¼Á»ñÅúÁÙ´²×ö³öÁË×Ô¼ºµÄТ˳¡£¡£¡£¡£

? ¸ü¶à°¸ÀýÍÆ¼öÔĶÁ£ºÃÀ¸ß÷һվʽ¡°GLP-1¡±ÐÂÒ©Ñз¢Ð§ÀÍÄÜÁ¦½éÉÜ

²Î¿¼×ÊÁÏ£º
[1]ºãÈðÒ½Ò©¹Ù·½¹ûÈ»×ÊÁÏ
[2]https://www.nature.com/articles/s41586-024-07419-8
[3]https://pubmed.ncbi.nlm.nih.gov/38732142/

Ïà¹ØÐÂÎÅ
¡Á
ËÑË÷ÑéÖ¤
µã»÷Çл»
¡¾ÍøÕ¾µØÍ¼¡¿¡¾sitemap¡¿