ÃÀ¸ß÷
ÓªÒµ×Éѯ
Öйú£º
Email: marketing@medicilon.com.cn
ÓªÒµ×ÉѯרÏߣº400-780-8018
£¨½öÏÞЧÀÍ×Éѯ£¬£¬£¬£¬£¬ÆäËûÊÂÒËÇ벦´ò´¨É³×ܲ¿µç»°£©
´¨É³×ܲ¿µç»°: +86 (21) 5859-1500
ÍâÑó£º
+1(781)535-1428(U.S.)
0044 7790 816 954 (Europe)
Email:marketing@medicilon.com




PI3K (The phosphatidylinositol3-kinase)ÊÇPI3K-Akt-mTORÐźÅͨ·µÄÖ÷Òª×é³É²¿·Ö£¬£¬£¬£¬£¬ÔÚϸ°ûµÄÉú³¤¡¢·Ö½â¡¢µòÍöµÈ·½Ã涼ʩչ×ÅÖ÷Òª×÷Óᣡ£¡£PI3K-Akt-mTORÐźÅͨ·µÄÐí¶à³ÉÔ±·Ö×Ó£¬£¬£¬£¬£¬¶¼Êǰ©Ö¢¡¢ÃâÒßµÈÀú³ÌÖеÄÒªº¦ÐÔÒ©Îï°Ðµã¡£¡£¡£¶ø°ÐÏòÓÚPI3KÐźÅͨ·ÖÐÒªº¦½ÚµãµÄ²î±ðÀàÐ͵ÄÒÖÖÆ¼ÁÏÖÔÚÕý´¦ÓÚ¸÷×Ô²î±ðµÄÁÙ´²Ñо¿½×¶Î£¬£¬£¬£¬£¬ÓÃÒÔÖÎÁÆÈËÌå¶ñÐÔÖ×Áö¡£¡£¡£
PI3K°ÐµãµÄ¹éÄÉ×ۺϼ°Æäתµ¼Í¨Â·
PI3K×Ô¼º¾ßÓÐË¿°±Ëá/ËÕ°±ËἤøµÄ»îÐÔ£¬£¬£¬£¬£¬Ò²¾ßÓÐÁ×Ö¬õ£¼¡´¼¼¤Ã¸µÄ»îÐÔ¡£¡£¡£PI3Kƾ֤Æä½á¹¹ºÍµ×ÎïµÄÌØÒìÐÔ²î±ð¿É·ÖΪ¢ñÐÍ¡¢¢òÐͺ͢óÐÍ¡£¡£¡£ÆäÖУ¬£¬£¬£¬£¬¢ñÐÍPI3KÊÇÏÖÔÚÑо¿×îÉîÈë¡¢×îÆÕ±éµÄÑÇÐÍ£¬£¬£¬£¬£¬ÆäÓëÖ×ÁöµÄ¹ØÏµÒ²×îΪÇ×½ü£¬£¬£¬£¬£¬ÒѳÉΪÖ×ÁöÖÎÁƵÄÖ÷Òª°Ð±ê¡£¡£¡£PI3K¢ñÐÍΪÒìÔ´¶þ¾ÛÌ壬£¬£¬£¬£¬ÓÉp85µÄÒ»¸öµ÷ÀíÑÇ»ùºÍÒ»¸ö´ß»¯ÑÇ»ù£¨·ÖΪËÄÖֽṹ£¬£¬£¬£¬£¬¼´p110¦Á£¬£¬£¬£¬£¬¦Â£¬£¬£¬£¬£¬¦Ä£¬£¬£¬£¬£¬¦Ã£©×é³É£¬£¬£¬£¬£¬ÆäÖе÷ÀíÑÇ»ùÓÖº¬ÓÐSH2ºÍSH3½á¹¹Óò£¬£¬£¬£¬£¬ÄÜÓ뺬ÓÐÏìÓ¦Á¬ÏµÎ»µãµÄ°ÐÂѰ×Ïà×÷Óᣡ£¡£PI3K¦Á£¬£¬£¬£¬£¬¦ÂÒì¹¹Ìå±í´ïÓÚ¶àÖÖ×éÖ¯ÖУ¬£¬£¬£¬£¬¦ÄÑÇÐÍÌØÒìÐÔ±í´ïÓÚÁ£ÐÔ°×ϸ°ûÖУ¬£¬£¬£¬£¬PI3K¦ÃÔòÔÚÐÄѪ¹ÜϵͳµÄÐí¶àϸ°ûÖбí´ï¡£¡£¡£

PI3K×÷ΪPI3K-Akt-mTORÐźÅͨ·µÄÉÏÓηÖ×Ó£¬£¬£¬£¬£¬ÆäÒì³£¼¤»î¿ÉÒýÆðһϵÁз´Ó¦¡£¡£¡£µ±ÉÏÓεÄGÂѰ׿ÁªÊÜÌå»òÀÒ°±Ëἤø¼¤»îʱ£¬£¬£¬£¬£¬PI3KµÄµ÷ÀíÑÇ»ùp85±»ÕÙļµ½ÖÊĤÖÜΧ£¬£¬£¬£¬£¬´ß»¯Á×Ö¬õ£¼¡´¼-4,5-¶þÁ×ËᣨPIP2£©Á×ËữÐγÉÖ¬õ£¼¡´¼-3£¬£¬£¬£¬£¬4,5-,ÈýÁ×ËᣨPIP3£©[1]£»£»£»£»PIP3¿ÉÓëÂѰ׼¤Ã¸B£¨AKT£©µÄN¶ËPH½á¹¹ÓòÁ¬Ïµ£¬£¬£¬£¬£¬Ê¹AKT×ªÒÆÖÁϸ°ûĤÉÏ[2]; ÔÚ3-Á×Ëἡ´¼ÒÀÀµÐÔÂѰ׼¤Ã¸1£¨PDK1£©µÄÐÖúÏ£¬£¬£¬£¬£¬PI3Kͨ¹ýʹAKTÂѰ×ÉϵÄË¿°±ËáÁ×ËữλµãºÍËÕ°±ËáÁ×ËữλµãÁ×Ëữ¶øÊ¹Æä¼¤»î[3]¡£¡£¡£»£»£»£»î»¯µÄAKT¿ÉÒÔͨ¹ýÒÖÖÆÌÇԺϳɼ¤Ã¸3£¨GSK3£©ÒÔÎȹÌϸ°ûÖÜÆÚËØD1´Ó¶øµ÷Àíϸ°ûÖÜÆÚ£»£»£»£»Ò²¿Éͨ¹ýÒÖÖÆBad£¨BCL2ϸ°ûéæÃüÊÜÌåÞ׿¹¼Á£©£¬£¬£¬£¬£¬¶Ô¿¹Ï¸°ûµòÍö[4]£»£»£»£»»¹¿ÉÔöÌíºËת¼Òò×ÓNF-kBµÄת¼»îÐÔ£¬£¬£¬£¬£¬´Ó¶øÔöÌíÖ×Áöϸ°ûµÄÔ˶¯ÄÜÁ¦£¬£¬£¬£¬£¬Ôö½øÖ×Áö×ªÒÆ¡£¡£¡£»£»£»£»î»¯µÄAKTͨ¹ýÁ×Ëữ×÷Óü¤»îmTOR¡¢GSK3ÒÔ¼°BCL-2µÈÐźÅͨ·£¬£¬£¬£¬£¬´Ó¶ø¶Ôϸ°ûÉú³¤ºÍϸ°ûÖÜÆÚ¾ßÓкÜÊÇÖ÷ÒªµÄµ÷Àí×÷Óᣡ£¡£
PI3KÒÖÖÆ¼ÁµÄÑо¿ÏÖ×´
2017Äê9ÔÂ14ÈÕ£¬£¬£¬£¬£¬ÃÀ¹úFDA¼ÓËÙÅú×¼Bayer Healthcare PharmaceuticalsµÄAliqopa (Copanlisib)ÉÏÊУ¬£¬£¬£¬£¬ÓÃÓÚÖÎÁÆî¾»¼¸´·¢ÐÔÂËÅÝÐÔÁܰÍÁö¡£¡£¡£CopanlisibÊÇPI3KÒÖÖÆ¼Á£¬£¬£¬£¬£¬ËüÄÜÒÖÖÆPI3K-¦ÁºÍPI3K-¦ÄÁ½ÖÖ¼¤Ã¸ÑÇÐÍ£¬£¬£¬£¬£¬ÆäÁÆÐ§Ò²ÔÚÁÙ´²ÊÔÑéÖлñµÃÁËÑéÖ¤¡£¡£¡£ÔÚÁÙ´²ÊÔÑéÖУ¬£¬£¬£¬£¬½ÓÊÜCopanlisibÖÎÁƵϼÕߣ¬£¬£¬£¬£¬»º½âÂʵִïÁË59%£¬£¬£¬£¬£¬»ùÓÚÁÙ´²ÊÔÑéµÄ¾«²ÊÊý¾Ý£¬£¬£¬£¬£¬ÃÀ¹úFDAÔøÊÚÓèÕâ¿îÐÂÒ©ÓÅÏÈÉóÆÀ×ʸñ¡£¡£¡£
2018Äê8ÔÂ23ÈÕ£¬£¬£¬£¬£¬Åµ»ªÖÆÒ©Ðû²¼Æä¹ØÓÚBYL719µÄÈ«ÇòÁÙ´²3ÆÚÊÔÑé»ñµÃÁËÆð¾¢µÄЧ¹û£¬£¬£¬£¬£¬¸ÃÏîÑо¿ÖÐYL719ÊÇÒ»ÖÖÓÐÓõÄÑ¡ÔñÐÔµÄPI3K-¦ÁÒÖÖÆ¼Á£¬£¬£¬£¬£¬ÓÃÓÚÖÎÁÆÈéÏÙ°©¡£¡£¡£
GSK2126458£¨Omipalisib£©ÏÖÔÚ´¦ÔÚÁÙ´²Ò»ÆÚÑо¿½×¶Î£¬£¬£¬£¬£¬ÓÃÓÚÖÎÁÆÌØ·¢ÐÔ·ÎÏËά»¯¡¢ÊµÌåÁöºÍÁܰÍÁö¡£¡£¡£GSK2126458ÊÇÒ»ÖÖ¸ßÑ¡ÔñÐÔ£¬£¬£¬£¬£¬ÓÐÓõÄPI3KÒÖÖÆ¼Á£¬£¬£¬£¬£¬¿ÉÒÔÒÖÖÆp110¦Á/¦Â/¦Ä/¦Ã£¬£¬£¬£¬£¬mTORC1/2µÄ»îÐÔ¡£¡£¡£
PQR-309´¦ÓÚÁÙ´²¶þÆÚ£¬£¬£¬£¬£¬ÓÃÓÚÖÎÁÆÁܰÍÁö¡£¡£¡£ÆäÓÃÓÚÖÎÁÆÈéÏÙ°©µÄÑо¿´¦ÓÚÁÙ´²Ò»ÆÚºÍ¶þÆÚ£¬£¬£¬£¬£¬ÓÃÓÚÖÎÁÆÊµÌåÁöµÄÑо¿´¦ÓÚÁÙ´²Ò»ÆÚ¡£¡£¡£PQR309ÊÇPI3KÒÖÖÆ¼Á£¬£¬£¬£¬£¬ÒÖÖÆPKBºÍS6Á×Ëữ¡£¡£¡£
GSK-2636771ÓɸðÀ¼ËØÊ·¿ËÑз¢£¬£¬£¬£¬£¬´¦ÓÚÁÙ´²¶þÆÚ£¬£¬£¬£¬£¬ÓÃÓÚÖÎÁÆÍíÆÚʵÌåÁö¡£¡£¡£ÆäÓë¶÷Ôú³°·ÁªÊÊÓÃÒ©ÓÃÓÚÖÎÁÆ×ªÒÆÐÔǰÏßÏÙ°©µÄÑо¿£¬£¬£¬£¬£¬´¦ÓÚÁÙ´²Ò»ÆÚ¡£¡£¡£GSK2636771ÊÇÒ»ÖÖÓÐÓõġ¢Ñ¡ÔñÐԵġ¢ÊʿڷþµÄPI3K-¦ÂÒÖÖÆ¼Á¡£¡£¡£
PI3KµÄÑÐ×îÐÂÑо¿Ï£Íû
Nils PembertonµÈÈËÔÚ×î½ü½ÒÏþµÄÎÄÕÂ[5]ÖÐÌá³ö»¯ºÏÎï15¾ßÓÐÓÅÁ¼µÄÑÇÐÍÑ¡ÔñÐÔºÍÓÅÒìµÄÒ©´ú¶¯Á¦Ñ§ºÍÌåÍâÇå¾²ÐÔ£¬£¬£¬£¬£¬×÷ΪPI3K-¦ÃÒÖÖÆ¼ÁÓгÉÒ©µÄ¿ÉÄÜÐÔ£¬£¬£¬£¬£¬ÖµµÃ½øÒ»²½µÄÑо¿¡£¡£¡£
Side ShenµÈÈË[6]Éè¼Æ²¢ºÏ³ÉÁËһϵÁÐ6-°±»ùßÁऻù4-»Çõ£2-Âðßøà×ऺËÀàËÆÎï×÷ΪPI3KÒÖÖÆ¼Á¾ÙÐÐÑо¿¡£¡£¡£Í¨Ì«¹ýÎöÑо¿£¬£¬£¬£¬£¬ÀֳɻñµÃ»¯ºÏÎï26£¬£¬£¬£¬£¬ÆäÌåÏÖ³ö¶ÔPI3K-¦Á£¬£¬£¬£¬£¬¦Â£¬£¬£¬£¬£¬¦Ä£¬£¬£¬£¬£¬¦Ã¶¼ÓнϸߵÄÒÖÖÆ×÷Ó㬣¬£¬£¬£¬²¢ÓÐÓÅÁ¼µÄÒ©´ú¶¯Á¦Ñ§²ÎÊý¡£¡£¡£
Tao YuµÈÈË[7]ͨ¹ý¶ÔһϵÁÐßÁà¤à×à¤ÍªÑÜÉúÎïµÄÅжϺÍÏȵ¼ÓÅ»¯£¬£¬£¬£¬£¬·¢Ã÷ÁË»¯ºÏÎï31£¬£¬£¬£¬£¬ÆäΪÐÂÐ͵ĸßЧ˫°Ðµã£¨PI3K/mTOR£©ÒÖÖÆ¼Á¡£¡£¡£»£»£»£»¯ºÏÎï31¶ÔPI3K-¦ÁºÍmTORÓнϸߵÄø»îÐÔ£¬£¬£¬£¬£¬¾ßÓÐÓÅÒìµÄÒ©´ú¶¯Á¦Ñ§ÌØÕ÷¡£¡£¡£±ðµÄ£¬£¬£¬£¬£¬»¯ºÏÎï31ÔÚPC-3MÖ×ÁöÒìÖÖÒÆÖ²Ä£×ÓÖÐÏÔʾÁ˽ϺÃÁÆÐ§¡£¡£¡£
ÖÎÁƺôÎüµÀ¼²²¡£¬£¬£¬£¬£¬ÒÖÖÆ¼ÁÈôÊÇͨ¹ýÎüÈë·½·¨ÓÃÒ©¿ÉÖ±½ÓËʹﲡ±äλÖ㬣¬£¬£¬£¬Äܹ»Ìá¸ßÒ©ÎïµÄÖÎÁÆÐ§¹û£¬£¬£¬£¬£¬²¢ïÔÌÒ©ÎïµÄ¸±×÷Óᣡ£¡£Montse ErraµÈ[8]·¢Ã÷²¢ÓÅ»¯ÁËLAS195319×÷ΪÎüÈëʽµÄPI3K-¦ÄÒÖÖÆ¼ÁÓÃÓÚÖÎÁÆÑÏÖØµÄÏø´ºÍÂýÐÔÛÕ±ÕÐԷβ¡¡£¡£¡£
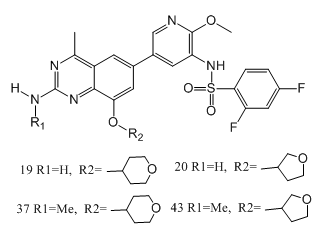
Á×Ö¬õ£¼¡´¼3-¼¤Ã¸(PI3K)Òì³£¼¤»îÊǰ©Ö¢ÖÐ×î³£¼ûµÄ¸Ä±äÖ®Ò»£¬£¬£¬£¬£¬ÕâʹµÃÎÒÃÇÆð¾¢¿ª·¢Õë¶ÔPI3KµÄ°©Ö¢ÖÎÁÆÒªÁì¡£¡£¡£ÔÚÕâÏîÊÂÇéÖУ¬£¬£¬£¬£¬SongwenLinµÈÈË[9]ͨ¹ýÔÓ½»ºÍÖ§¼ÜÌøÔ¾ÒªÁì·¢Ã÷ÁËһϵÁÐеÄ2-°±»ù-4-¼×»ùàßòßøÑÜÉúÎ£¬£¬£¬£¬ËüÃÇÊǸ߶ÈÓÐÓõĢñÀàPI3KÒÖÖÆ¼Á¡£¡£¡£Ïȵ¼ÎïÓÅ»¯±¬·¢ÁËһЩÓÐǰ;µÄ»¯ºÏÎï(È磬£¬£¬£¬£¬19,20,37ºÍ43)£¬£¬£¬£¬£¬¾ßÓÐÏÔÖøµÄ¿¹Ö×ÁöÔöÖ³»îÐÔ¡£¡£¡£ÁíÍ⣬£¬£¬£¬£¬Óë19ºÍ20Ïà±È£¬£¬£¬£¬£¬37ºÍ43ÔÚÔλ½ºÖÊĸϸ°ûÁöÒìÖÖÒÆÖ²Ä£×ÓÖÐÏÔʾ³öÁ˸üºÃµÄÄÔÉøÍ¸ºÍÌåÄÚÁÆÐ§¡£¡£¡£±ðµÄ£¬£¬£¬£¬£¬SongwenLinµÈÈË»¹¾ÙÐÐÁËÆðÔ´µÄÇå¾²ÐÔÆÀ¹À£¬£¬£¬£¬£¬°üÀ¨hERGͨµÀÒÖÖÆ¡¢AMES¡¢CYP450ÒÖÖÆºÍµ¥¼ÁÁ¿¶¾ÐÔ£¬£¬£¬£¬£¬ÒÔ±íÕ÷Æä¶¾ÀíÑ§ÌØÕ÷¡£¡£¡£
Ëæ×ÅÔ½À´Ô½¶àµÄPI3KÒÖÖÆ¼ÁÔÚÁÙ´²ÉÏÈ¡µÃÍ»ÆÆÐÔÏ£Íû£¬£¬£¬£¬£¬¿ª·¢ÐÂÐÍС·Ö×ÓPIK3ÒÖÖÆ¼ÁÒѳÉΪ¸ÃÁìÓòµÄÑо¿ÈÈÃÅ£¬£¬£¬£¬£¬µ«PI3KÒÖÖÆ¼Á×÷Ϊµ¥Ò©»òÕßÁªÊÊÓÃÒ©µÄÁÆÐ§ºÍÇå¾²ÐÔÓдý½øÒ»²½µÄÁÙ´²ÑéÖ¤¡£¡£¡£´ÓÏÖÔÚÇéÐο´£¬£¬£¬£¬£¬´ó²¿·ÖPI3KÒÖÖÆ¼ÁµÄÖÎÁÆÐ§¹û»¹²»¿ÉÍêȫ֪×ãÁÙ´²ÐèÇ󣬣¬£¬£¬£¬³¤Ð§PI3KÒÖÖÆ¼ÁÓ¦ÓÃÓÚ°©Ö¢ÖÎÁÆÊ±¶ÔѪÌǵ÷Àí¡¢ÃâÒß¹¦Ð§µÈ·½ÃæµÄÓ°ÏìÈÔÓдý½øÒ»²½Ñо¿¡£¡£¡£¶øÐÂÐÍ¡¢¸ßЧ¡¢µÍ¶¾µÄPI3KÒÖÖÆ¼ÁµÄ¿ª·¢½«»á³ÉΪδÀ´¼¸Äê¸ÃÁìÓòµÄÑо¿Ï£Íû¡£¡£¡£
²Î¿¼ÎÄÏ×£º
1, Franke T F, Kaplan D R,Cantley L C. PI3K:downstream AKTion blocks apoptosis. Cell, 1997,88(4):435-437.
2, Kong D, Yamori T. Advancesin development of phosphatidy linositol 3-kinase inhibitors. Curr Med Chem,2009,16(22):2839-2854.
3, Vanhaesebroeck
B, Guillermet-GuibertJ, Graupera M. The emerging mechanisms of
isoform-specific PI3K signaling. NatRev Mol Cell
Biol,2010,11(11):329-341.
4, Wendel H G, De Stanchina E,Fridman J S. Survival signaling by Akt and EiF4E in oncogenesis and cancertherapy. Nature, 2004, 428(6980):332-337.
5, Nils Pemberton, MickaelMogemark, Susanne Arlbrandt, Peter Bold, Rhona J. Cox, Cristina Gardelli, NeilS. Holden, Kostas Karabelas, Johan Karlsson, Sarah Lever, Xueshan Li, HelenaLindmark, Monica Norberg, Matthew W. D. Perry, Jens Petersen, Sandra RodrigoBlomqvist, Matthew Thomas, Christian Tyrchan, Annika Westin Eriksson, PavolZlatoidsky, and Linda ?ster. Discovery of Highly Isoform Selective OrallyBioavailable Phosphoinositide 3-Kinase (PI3K)-¦Ã Inhibitors. J. Med. Chem, 2018,61 (12), pp 5435¨C5441.
6, Sida Shen, Xiangyu He,Zheng Yang, Liang Zhang, Yingtao Liu, Zhiyuan Zhang, Weiwei Wang, Wei Liu, YufengLi, Dong Huang, Kai Sun, Xiaojing Ni, Xu Yang, Xinxin Chu, Yumin Cui, Qiang Lv,Jiong Lan, and Fusheng Zhou. Discovery of an Orally Bioavailable Dual PI3K/mTORInhibitor Based on Sulfonyl-Substituted Morpholinopyrimidines. ACS Med. Chem.Lett, 2018, 9 (7), pp 719¨C724.
7, Tao
Yu, Ning Li, ChengdeWu, Amy Guan, Yi Li, Zhengang Peng, Miao He, Jie
Li, Zhen Gong, Lei Huang, BoGao, Dongling Hao, Jikui Sun, Yan Pan, Liang
Shen, Chichung Chan, Xiulian Lu,Hongyu Yuan, Yongguo Li, Jian Li, and
Shuhui Chen. Discovery ofPyridopyrimidinones as Potent and Orally Active
Dual Inhibitors of PI3K/Mtor.ACS Med. Chem. Lett, 2018, 9 (3), pp
256¨C261.
8, Montse
Erra, JoanTaltavull, Francisco Javier Bernal, Juan Francisco Caturla,
Marta Carrascal,Lluis Pages, Marta Mir, Sonia Espinosa, Jordi Gracia,
Mara Domnguez, Mar Sabat,Stephane Paris, Monica Maldonado, Bego?a
Hernandez, Monica Bravo, Elena Calama,Montserrat Miralpeix, Martin D.
Lehner, and Marta Calbet. Discovery of a NovelInhaled PI3K¦Ä Inhibitor
for the Treatment of Respiratory Diseases. J. Med.Chem. 2018, 61, 21,
9551-9567.
9, Songwen Lin, Chunyang Wang,Ming Ji, Deyu Wu, Yuanhao Lv, Kehui Zhang, Yi Dong, Jing Jin, Jiajing Chen,Jingbo Zhang, Li Sheng, Yan Li, Xiaoguang Chen, and Heng Xu. Discovery andOptimization of 2-Amino-4-methylquinazoline Derivatives as Highly PotentPhosphatidylinositol 3-Kinase Inhibitors for Cancer Treatment. J. Med. Chem,2018, 61 (14), pp 6087¨C6109.
Ïà¹ØÐÂÎÅ