Example ImageÃÀ¸ß÷

EN
EN
  • ÓªÒµ×Éѯ

    Öйú£º

    Email: marketing@medicilon.com.cn

    ÓªÒµ×ÉѯרÏߣº400-780-8018

    £¨½öÏÞЧÀÍ×Éѯ£¬£¬£¬ÆäËûÊÂÒËÇ벦´ò´¨É³×ܲ¿µç»°£©

    ´¨É³×ܲ¿µç»°: +86 (21) 5859-1500

    ÍâÑó£º

    +1(781)535-1428(U.S.)

    0044 7790 816 954 (Europe)

    Email:marketing@medicilon.com

ÔÚÏßÁôÑÔ¡Á
µã»÷Çл»
Customer Center
¿Í»§ÖÐÐÄ

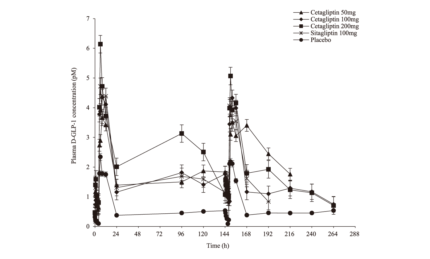
Cetagliptinͨ¹ýÒÖÖÆDPP-4/ÔöÌíGLP-1½µµÍѪÌÇ£¬£¬£¬¿ÉÓÃÓÚÖÎÁÆ2ÐÍÌÇÄò²¡£¬£¬£¬±¾Ñо¿ÖÐGLP-1¼ì²âͨ¹ýÃÀ¸ß÷¾ÙÐÐ

2025-07-11
|
»á¼ûÁ¿£º

Cetagliptin demonstrates the great potential for treatment with type 2 diabetes patients based on the inhibition of DPP-4, the increase in GLP-1 and insulin, the decrease in glucose, and might be more effective in DPP-4 inhibition than sitagliptin.

This study was conducted in a small, selected population of healthy subjects with normoglycaemia. The results suggest that Cetagliptin, at doses ¡Ý50 mg once daily (QD), exhibited minimal accumulation, inhibited plasma DPP-4 activity by >80% over a 24-hour dosing interval, and increased active glucagon-like-1 peptide (GLP-1) levels without producing hypoglycaemia. The active GLP-1 assays were performed by Medicilon Preclinical Research LLC. Generally, Cetagliptin has favourable clinical tolerability and safety.

92.png

Reference:

Jinmiao Lu, et al. A double-blind, randomized, placebo and positive-controlled study in healthy volunteers to evaluate pharmacokinetic and pharmacodynamic properties of multiple oral doses of cetagliptin. Br J Clin Pharmacol. 2022 Jun;88(6):2946-2958. doi: 10.1111/bcp.15209.

Ïà¹ØÐÂÎÅ
¡Á
ËÑË÷ÑéÖ¤
µã»÷Çл»
¡¾ÍøÕ¾µØÍ¼¡¿¡¾sitemap¡¿