Example ImageÃÀ¸ß÷

EN
EN
  • ÓªÒµ×Éѯ

    Öйú£º

    Email: marketing@medicilon.com.cn

    ÓªÒµ×ÉѯרÏߣº400-780-8018

    £¨½öÏÞЧÀÍ×Éѯ£¬£¬£¬£¬£¬£¬ÆäËûÊÂÒËÇ벦´ò´¨É³×ܲ¿µç»°£©

    ´¨É³×ܲ¿µç»°: +86 (21) 5859-1500

    ÍâÑó£º

    +1(781)535-1428(U.S.)

    0044 7790 816 954 (Europe)

    Email:marketing@medicilon.com

ÔÚÏßÁôÑÔ¡Á
µã»÷Çл»
Pharmaceutical research
ҩѧÑо¿

Í¸Æ¤ÖÆ¼ÁÌåÍâÆÀ¼Û

ÃÀ¸ß÷ÔÚ͸Ƥ¸øÒ©ÖƼÁÌåÍâÆÀ¼Û·½ÃæÓµÓи»ºñµÄÏîÄ¿ÂÄÀú£¬£¬£¬£¬£¬£¬Å䱸ÁË͸ƤÒÇ¡¢µÍÎÂÀä¶³ÆÆËðÒÇ¡¢¾­Æ¤Ê§Ë®ÒÇÒÔ¼°LC-MS/MSµÈÒÇÆ÷£¬£¬£¬£¬£¬£¬¿ÉÔÚ»¯ºÏÎïɸѡ¡¢ÐÂÒ©É걨¡¢ÒÑÉÏÊл¯Ñ§Ò©Æ·Ò©Ñ§±ä»»¡¢Ò»ÖÂÐÔÆÀ¼Û¡¢·ÂÖÆÒ©É걨µÈÉæ¼°ÌåÍâÆÀ¼ÛµÄÏîÄ¿Ìṩרҵ¶ø¸ßЧµÄЧÀÍ¡£ ¡£¡£¡£ÌåÍâÊÍ·ÅÊÔÑ飨IVRT£©ºÍÌåÍâ͸ƤÊÔÑ飨IVPT£©Êdz£ÓÃÓÚ°ë¹ÌÌåÖÆ¼Á£¨Èé¸à¼Á¡¢Èí¸à¼Á¼°Äý½º¼ÁµÈ£©¡¢Í¸Æ¤Ìù¼ÁºÍÒõµÀÖÆ¼ÁÖÊÁ¿Ñо¿µÄÒªÁì¡£ ¡£¡£¡£
Title
Ƥ·ô¸øÒ©µÄÓÅÊÆ
  • Ƥ·ôÊÇÈËÌå×î´óµÄÆ÷¹Ù£¬£¬£¬£¬£¬£¬³ÉÄêÈËµÄÆ¤·ôÍâò»ýԼĪ2m?£¬£¬£¬£¬£¬£¬¾Ö²¿Æ¤·ôÍâÓÃÖÆ¼Á£¨Topical Application£©ºÍÍ¸Æ¤ÖÆ¼Á£¨Transdermal drug delivery £¬£¬£¬£¬£¬£¬TDD£©Ö¸ÔÚÆ¤·ôÍâò¸øÒ©£¬£¬£¬£¬£¬£¬Ò©Îïͨ¹ýƤ·ô¸÷²ã£¬£¬£¬£¬£¬£¬½øÈë»úÌåʩչ¾Ö²¿»òÈ«ÉíÖÎÁÆ×÷ÓõÄÖÆ¼Á£¬£¬£¬£¬£¬£¬ÊÇÒ»ÖÖ·ÇÇÖÈëÐÔ¡¢»¼ÕßÒÀ´ÓÐԸߵļÁÐÍ£¬£¬£¬£¬£¬£¬Ö÷ÒªÓпäϸ°ûͨ·¡¢Ï¸°û¼äͨ·¼°Æ¤·ôÁ¥ÊôÆ÷Õâ3ÖÖÎüÊÕ;¾¶£»£»£»£»£»£»Õë¶Ô²î±ðÒ©ÎïµÄÌØÕ÷ºÍÖÎÁÆÄ¿µÄ£¬£¬£¬£¬£¬£¬¾Ö²¿Æ¤·ôÍâÓÃÖÆ¼ÁºÍÍ¸Æ¤ÖÆ¼Á¿É±»¿ª·¢Îª´ÓÈÜÒº¡¢°ë¹ÌÌåµ½Ìù¼ÁµÈ²î±ð¼ÁÐÍ£¬£¬£¬£¬£¬£¬ÈçÅçÎí¡¢Äý½º¡¢Èé¼Á¡¢Èí¸à¡¢Äý½ºÌù¼ÁµÈ£¬£¬£¬£¬£¬£¬ÒÔ¼°Î¢Õë¡¢³¬Éù²¨µ¼ÈëµÈÐÂÐ͵Ýҩϵͳ¡£ ¡£¡£¡£
    Ƥ·ô¸øÒ©ÓëÁÙ´²³£¼û¿Ú·þ¡¢¾²ÂöµÈͨÀý¸øÒ©·½·¨Ïà±È£¬£¬£¬£¬£¬£¬¾ßÓÐÈçÏÂÓÅÊÆ£º
    1¡¢ïÔÌ­Ò©ÎïÈ«Éí̻¶´øÀ´µÄ¸±×÷Ó㻣»£»£»£»£»
    2¡¢×èÖ¹¸ÎÔàµÄÊ×¹ýЧӦºÍÒ©ÎïÔÚ賦µÀµÄ½µ½â£»£»£»£»£»£»
    3¡¢Î¬³Öºã¶¨µÄÓÐÓÃѪҩŨ¶È£»£»£»£»£»£»
    4¡¢¸øÒ©Í¾¾¶¼ÈÀû±ãÓÖ¾ßÓлºÊÍ×÷ÓÃ
    ÃÀ¸ß÷Ƥ·ô¾Ö²¿ÓÃÖÆ¼ÁÑз¢Æ½Ì¨¿É³Ð½ÓÖÖÖÖÆ¤·ô¾Ö²¿ÓÃÖÆ¼ÁµÄ¿ª·¢Àú³Ì£¬£¬£¬£¬£¬£¬°üÀ¨Èí¸à¼Á¡¢Èé¸à¼Á¡¢Äý½º¼ÁµÈ°ë¹ÌÌåÖÆ¼Á£¬£¬£¬£¬£¬£¬Ò²°üÀ¨Ï´¼Á¡¢²ë¼ÁµÈÈÜÒº¼Á¡£ ¡£¡£¡£ÃÀ¸ß÷¾ßÓи»ºñµÄÍ¸Æ¤ÖÆ¼ÁÑз¢ÂÄÀú£¬£¬£¬£¬£¬£¬ÍêÉÆµÄÖÊÁ¿ÏµÍ³£¬£¬£¬£¬£¬£¬¿ÉÖª×ã¿Í»§µÄ¶¨ÖÆ»¯ÐèÇó¡£ ¡£¡£¡£Í¬Ê±£¬£¬£¬£¬£¬£¬ÃÀ¸ß÷ӵÓаë¹ÌÌåGMP³µ¼ä£¬£¬£¬£¬£¬£¬¿ÉÌṩÁÙ´²ÑùÆ·Éú²úµÄЧÀÍ¡£ ¡£¡£¡£
    Í¸Æ¤ÖÆ¼ÁÌåÍâÆÀ¼Û.jpg
IVRT£¨ÌåÍâÊÍ·Å£©ºÍIVPT£¨ÌåÍâ͸ƤÊÔÑ飩µÄÑ¡Ôñ
  • IVRT£¨ÌåÍâÊÍ·Å£©IVPT£¨ÌåÍâ͸ƤÊÔÑ飩
    ±íÕ÷ÖÆ¼ÁÊÍ·ÅÒ©ÎïµÄÐÔÄÜ£¬£¬£¬£¬£¬£¬ÓÃÓÚÖÆ¼ÁµÄ´¦·½Éè¼ÆÓëÓÅ»¯ÌåÍâºÍÌåÄÚÏà¹ØÐÔÆÀ¹À
    ¶Ô¾ßÓÐÏàͬÊýÄ¿µÄÓÐÓÃÒòËØºÍÏàͬ»òÏàËÆµÄ·Ç»îÐÔÒòËØ×é³ÉµÄÅä·½µÄͳһÐÔ¾ÙÐÐÆÀ¹ÀÆÀ¹ÀÅä·½ÖÆ¼ÁÖÐÒ©Îïͨ¹ý½ÇÖʲãµÄÄÜÁ¦£¬£¬£¬£¬£¬£¬ÒÔ¼°Ò©ÎïÔÚ±íÆ¤²ã¡¢ÕæÆ¤²ãºÍÎüÊÕ½éÖʵÄÂþÑÜ
    ½ÏÁ¿Òªº¦Éú²ú¡¢¹¤ÒÕ°ì·¨¡¢×°±¸¼°³¡ºÏµÄ¸Ä±ä¶Ô°ë¹ÌÌåÅä·½ÖÆ¼Á΢¹Û½á¹¹µÄÓ°Ïì½øÒ»²½¿ª·¢Îª°ë¹ÌÌåÖÆ¼ÁµÄзÖ×ÓʵÌåµÄÑ¡Ôñ
    ÔÚÉú²úºÍÎȹÌÐÔ¿¼²ìʱ´ú£¬£¬£¬£¬£¬£¬½ÏÁ¿Åú¼äÒ©ÎïÊÍ·ÅËÙÂʵIJî±ð£¬£¬£¬£¬£¬£¬ÓÃ×÷ÖÆ¼ÁÎȹÌÐÔ¿¼²ìµÄÖÊÁ¿Ö¸±ê²î±ðÍâÓðë¹ÌÌåÅä·½ÖÆ¼Á£¨²î±ð¼ÁÐ͵IJî±ð×é³É£¬£¬£¬£¬£¬£¬ÈçÈÜÒº¼Á¡¢Äý½º¼Á¡¢Èé¸à¼Á¡¢Èí¸à¼Á£©µÄÉøÍ¸¶¯Á¦Ñ§½ÏÁ¿
    ÆÀ¹À·ÂÖÆÒ©Óë²Î±ÈÖÆ¼ÁÖ®¼äµÄµÈͬÐÔ£¬£¬£¬£¬£¬£¬ÊÇ·ÂÖÆÒ©µÄÉúÎï¿íÃâµÄÒÀ¾ÝÖ®Ò»½ÏÁ¿ÍâÓòÎÕÕÖÆ¼ÁºÍÊÜÊÔÖÆ¼ÁÖÐÒ©ÎïÉøÍ¸Æ¤·ô£¬£¬£¬£¬£¬£¬µÖ´ïÓÃҩλµã»òÖÜΧλµãµÄËÙÂʺÍˮƽ
IVRTºÍIVPTµÈЧÐÔÆÀÅÐ
  • ¸÷¹ú¶ÔÌåÍâÊÍ·Å£¨IVRT£©µÈЧÐÔÅжϱê×¼µÄ½ÏÁ¿

    µØÇøÊÔÑéÉè¼ÆÆÀ¼ÛÏîÄ¿Åжϱê×¼
    FDA*À©É¢·¨
    *È˹¤Ä¤
    *4-6h£¬£¬£¬£¬£¬£¬Ã¿Ð¡Ê±È¡Ñù
    *½ÓÊÜÒº±ØÐèÄܸ߶ÈÏûÈÚÒ©Îï
    *µÚÒ»½×¶Î£º6¸öÑùÆ·£»£»£»£»£»£»
    *µÚ¶þ½×¶Î£ºÔöÌí12¸öÑùÆ·
    *ÉÏÑùÁ¿Ô¼200mg¡¢1.0g/cm2
    Qnµ¥Î»Ãæ»ýÀÛ¼ÆÊÍ·ÅÁ¿£¨¦Ìg/cm2£©¶ÔtµÄƽ·½¸ù»æÍ¼ÌìÉúÒ»ÌõÖ±Ïߣ¬£¬£¬£¬£¬£¬ÆäбÂÊ´ú±íÊÍ·ÅÂÊ£¨USP 1724£©ÖÐλÊÍ·ÅÂʱÈÖµ
    *ÀÛ»ýÊÍ·ÅÁ¿Óëtƽ·½¸ù³ÊÏßÐÔ£¨r2>0.90£©
    *µÚÒ»½×¶Î£ºÊÜÊÔÖÆ¼ÁºÍ²Î±ÈÖÆ¼Á¸÷±¬·¢6¸öбÂÊ£¬£¬£¬£¬£¬£¬90%ÖÃÐÅÇø¼äÔÚ75%~133.33%µÄÏ޶ȹæÄ£¡£ ¡£¡£¡£
    *µÚ¶þ½×¶Î£ºÊÜÊÔÖÆ¼ÁºÍ²Î±ÈÖÆ¼Á¸÷ÔöÌí12¸öбÂÊ£¬£¬£¬£¬£¬£¬¹²18¸öбÂÊ£¬£¬£¬£¬£¬£¬90%ÖÃÐÅÇø¼äÓ¦¸ÃÔÚ75%~133.33%µÄÏ޶ȹæÄ£¡£ ¡£¡£¡£
    EMA*À©É¢·¨
    *È˹¤Ä¤
    *Öª×㩲ÛÌõ¼þµÄ½éÖÊ£¬£¬£¬£¬£¬£¬pHÖµÎȹÌ
    *6¸öµã£¬£¬£¬£¬£¬£¬ÖÁÉÙÿСʱȡÑù
    *ͨÀý6¸öÑùÆ·£¬£¬£¬£¬£¬£¬ÑéÖ¤»òÕß֤ʵµÈЧÐÔ12¸öÑùÆ·
    *Ò©ÎïÊÍ·ÅËÙÂÊ£¨R£©£ºÀÛ»ýÊÍ·ÅÁ¿Óëtƽ·½¸ùµÄбÂÊ
    *ÔÚ×îºó²ÉÑùʱ¼äÀÛ»ýÁ¿£¨A£©
    *Ttag³ÙÖÍʱ¼ä£¨ÈçÊÊÓã©
    *ÀÛ»ýÊÍ·ÅÁ¿Óëtƽ·½¸ù³ÊÏßÐÔ£¨r2>0.90£©
    *R£¨Ò©ÎïÊÍ·ÅËÙÂÊ£©²»ÎªÁã
    *RºÍA£¨Ò©ÎïÀÛ¼ÆÊÍ·ÅÁ¿£©µÄ90%ÖÃÐÅÇø¼äÔÚ90~111%¹æÄ£ÄÚ
    *Ttag²î±ðÓ¦ÔÚ¡À10%¹æÄ£ÄÚ£¨ÈçÊÊ Óã©
    PMDA*½°µú·¨¡¢À©É¢³Ø·¨µÈ
    *È˹¤Ä¤
    * 12´Î
    *24Сʱ£¬£¬£¬£¬£¬£¬ÖÁÉÙ5¸öµã
    *pH5~7»º³åÒº£¬£¬£¬£¬£¬£¬Ë®-´¼»ìÏýÒº¡¢ÓлúÈܼÁ
    »®¶¨µÄÊÔÑéʱ¼ä»òÊÍ·ÅÇúÏßµÖ´ïÆ½ÎȺó1¸öʱ¼äµãºÍͳһʱ¼äµãÊÍ·ÅÂÊÒ»°ëËÙÂʵÄʱ¼äµã£¬£¬£¬£¬£¬£¬ÊÜÊÔÖÆ¼ÁºÍ²Î±ÈÖÆ¼ÁµÄƽ¾ùÊÍ·ÅÂÊÖ®±È*ÊÜÊÔÖÆ¼ÁºÍ²Î±ÈÖÆ¼ÁµÄƽ¾ùÊÍ·ÅÂÊÖ®±ÈÓ¦ÔÚ0.8~1.2¹æÄ£ÄÚ
    *ÊÜÊÔÖÆ¼ÁÊÍ·ÅÂʱäÒìÐÔÓ¦¡Ü²Î±ÈÖÆ¼Á±äÒìÐÔ
  • ¸÷¹ú¶ÔÌåÍâ͸Ƥ£¨IVPT£©µÈЧÐÔÅжϱê×¼µÄ½ÏÁ¿

    µØÇøÊÔÑéÉè¼Æ·ºÆðµÄÊý¾ÝÅжϱê×¼±¸×¢
    FDA*Éèä
    *À©É¢³Ø·¨
    *ÈËÀëÌ寤·ô
    *ÿ¸öÖÆ¼ÁÖÁÉÙ¾ÙÐÐ4´ÎÖØ¸´¸øÒ©
    1.ÀÛ»ýÉøÍ¸Á¿£¨Q£©-ʱ¼äÇúÏß
    2.ÎüÊÕËÙÂÊ£¨J£©-ʱ¼äÇúÏß
    3.×î´óÎüÊÕËÙÂÊ£¨Jmax£©
    4.×ÜÉøÍ¸Á¿£¨Atotal£©
    5.Ƥ·ôÖÍÁôÁ¿
    6.ʱÖÍ£¨Tg£©ÈôÊÇÓÐ
    7.×î´óÎüÊÕËÙÂÊʱ¼ä£¨tmax£©
    1.µÈЧÐÔ²ÎÊý£¨JmaxºÍAtotal£©ÊÔÑéÑùÆ·Óë²Î±ÈÖÆ¼Á¾ùÖµÖ®±ÈµÄ¿É½ÓÊܱê×¼£º90%ÖÃÐÅÇø¼ä£º80.00%~125.00%¡£ ¡£¡£¡£
    2.Ƥ·ôÖÍÁôÁ¿£¨Ò©ÎïÔÚÆ¤·ôÖеķÖÅÉ£©µ¥¶ÀÆÊÎö
    3.ÎïÁÏÆ½ºâ£¨½ÓÄÉÂÊ£©£º90~110%
    4.ʱÖÍÏàͬ£¨¡À10%£©
    1.ÔÚʹÓÃС¹æ¸ñºÍÓÐÏÞÀ©É¢Ò©Æ·ÊӲ쵽¸ß±äÒìÐÔµÄÇéÐÎÏ£¬£¬£¬£¬£¬£¬ÈôÊÇÁÙ´²ºÏÀíµÄ»°£¬£¬£¬£¬£¬£¬¿ÉÒÔ½ÓÊܸü¿íµÄ90%ÖÃÐÅÇø¼äÏÞÖÆ£¬£¬£¬£¬£¬£¬×î´óΪ69.84~143.19%¡£ ¡£¡£¡£
    2.½ÓÄÉÂÊÁè¼Ý½ÓÊܹæÄ£Ó¦³ä±ç°×Ã÷¡£ ¡£¡£¡£
    EMA*Éèä
    *À©É¢³Ø·¨
    *ÈËÀëÌ寤·ô¹©Ìå²»ÉÙÓÚ12£¬£¬£¬£¬£¬£¬Ã¿¸ö¹©ÌåÖÁÉÙ¾ÙÐÐ2×鯽ÐÐÊÔÑé
    1.ÀÛ»ýÉøÍ¸Á¿£¨Q£©-ʱ¼äÇúÏß
    2.ÎüÊÕËÙÂÊ£¨J£©-ʱ¼äÇúÏß
    3.×î´óÎüÊÕËÙÂÊ£¨Jmax£©
    4.×ÜÉøÍ¸Á¿£¨Atotal£©
    5.Ƥ·ôÖÍÁôÁ¿
    µÈЧÐÔ²ÎÊý£¨JmaxºÍAtotal£©¾­¶ÔÊýת»»ºóÅÌËã90%ÖÃÐÅÇø¼ä£¬£¬£¬£¬£¬£¬½ÓÊܱê×¼£º£¨¸ø³ö¶àÖÖͳ¼ÆÒªÁ죩µÍÇ¿¶ÈºÍÓÐÏÞÀ©É¢Ò©Îï²úÆ·ÖÐÊӲ쵽¸ß±äÒìÐÔ£¬£¬£¬£¬£¬£¬ÇÒÈôÊÇÁÙ´²Ö¤ÊµºÏÀí£¬£¬£¬£¬£¬£¬¿É½ÓÊÜ×î´óΪ69.84~143.19%¡£ ¡£¡£¡£
    *ÈËÀëÌ寤·ô¡¢¶¯ÎïÆ¤¡¢È˹¤/ºÏ³ÉĤ£¨ÌØÊâÇéÐΣ©
    *Ñù±¾Á¿²»ÉÙÓÚ6
    PMDA*¶¯ÎïÀëÌ寤·ô£¨¸÷ÖÆ¼Á6´ÎÒÔÉÏ£©1.ÎüÊÕËÙÂÊ£¨Jss£©²ÎÊýµÄ±äÒì͸¹ýÂÊµÖ´ïÆ½ÎÈÆÚºóµÄ1¸öʱ¼äµã£¬£¬£¬£¬£¬£¬ÒÔ¼°ÔÚ͸¹ýÂʵִï¸Ãʱ¼äµã͸¹ýÂÊÒ»°ëʱµÄijһʱ¼äµã£¬£¬£¬£¬£¬£¬ÊÔÑéÖÆ¼ÁµÄƽ¾ù͸¹ýÂÊÓë±ê×¼ÖÆ¼ÁµÄƽ¾ù͸¹ýÂʵıÈÖµÔÚ0.7~1.3¹æÄ£ÄÚ¡£ ¡£¡£¡£µ«ÊÔÑéÖÆ¼ÁµÄÎó²îÓ¦Óë±ê×¼ÖÆ¼Á͸¹ýÂʵÄÎó²îÏàͬ»ò¸üС¡£ ¡£¡£¡£´ÓÅжϱê×¼¿´£¬£¬£¬£¬£¬£¬¸üÊʺÏÎÞÏÞÉÏÒ©µÄ·½·¨£¨Ö»ÓÐÎÞÏÞÉÏÒ©µÄ·½·¨²ÅÌåÏÖ³öÉøÍ¸ËÙÂÊµÖ´ïÆ½ÎÈ£©
×°±¸
  • ͸ƤÒǵÍÎÂÀä¶³ÆÆËðÒǾ­Æ¤Ê§Ë®ÒÇ
ЧÀÍÄÚÈݼ°ÓÅÊÆ
  • 1¡¢¸»ºñµÄÑз¢ÂÄÀú
    Å䱸רҵµÄÖ°Ô±¼°×°±¸£¬£¬£¬£¬£¬£¬¹ØÓÚÖÖÖÖÍâÓÃÖÆ¼Á¼ÁÐÍ£¨Èé¸à¼Á¡¢Èí¸à¼Á¡¢Äý½º¼Á¡¢Ìù¼Á¡¢Î¢ÕëµÈ£©¾ùÓи»ºñµÄÑо¿ÂÄÀú£¬£¬£¬£¬£¬£¬º­¸Ç·ÂÖÆÒ©¼°ÐÂÒ©£¬£¬£¬£¬£¬£¬²¿·ÖÏîÄ¿ÒÑÄÃÉú²ú»òÕßÁÙ´²Åú¼þ£»£»£»£»£»£»
    2¡¢ÍâÓÃÖÆ¼ÁЧÀ͹æÄ£
    ²»Ö¹¾ÖÏÞÓÚÆ¤·ô¸øÒ©ÖƼÁ£¬£¬£¬£¬£¬£¬Í¬Ê±¹ØÓÚÑÛÓøøÒ©¡¢ÒõµÀ¸øÒ©¡¢ÇÖÈëÐÔ¸øÒ©µÄɸѡÊÂÇé¾ùÓÐÉæ¼°£¬£¬£¬£¬£¬£¬Ò²¿Éµ¥¶À³Ð½Ó·ÂÖÆÒ©°ë¹ÌÌåÖÆ¼ÁÌåÍâµÈЧÐÔÒ»ÖÂÐÔÆÀ¼ÛÊÂÇ飬£¬£¬£¬£¬£¬Í¬Ê±ÓµÓаë¹ÌÌåGMP³µ¼ä£¬£¬£¬£¬£¬£¬¿ÉÌṩÁÙ´²ÑùÆ·Éú²úµÄЧÀÍ£»£»£»£»£»£»
    3¡¢¶¨ÖÆ»¯Ð§ÀÍ
    ¿ÉÁ¬Ïµ¿Í»§µÄÐèÇ󣬣¬£¬£¬£¬£¬°´½×¶Î¶¨ÖÆ»¯Ð§ÀÍ£¬£¬£¬£¬£¬£¬ºÃ±È£ºÏȾÙÐл¯ºÏÎï³ÉÒ©ÐÔ´¦·½µÄɸѡ£¬£¬£¬£¬£¬£¬ÔÙʵÑéÓÅ»¯¼°·Å´ó£¬£¬£¬£¬£¬£¬ÅäºÏ¿Í»§·ÇÁÙ´²µÄÑо¿°ì·¨£»£»£»£»£»£»
    4¡¢ÍêÉÆµÄÖÊÁ¿ÏµÍ³
    ×ñÕÕ ICH Ö¸ÄÏ£¬£¬£¬£¬£¬£¬ÇÐºÏ cGMP ¹æÔò£¬£¬£¬£¬£¬£¬Öª×ã NMPA¡¢FDA µÄ¹æÔò¼°×¢²áÒªÇ󣬣¬£¬£¬£¬£¬Öª×ã CMC ÄÚ²¿ÖÊÁ¿¹ÜÀíµÄÒªÇ󣬣¬£¬£¬£¬£¬Öª×ã¿Í»§µÄÒªÇ󣬣¬£¬£¬£¬£¬Öª×ãµÚÈý·½ÈÏÖ¤µÄÒªÇ󣻣»£»£»£»£»
°¸ÀýÆÊÎö
  • 1¡¢ ijÈí¸à¼Á1ÀàÐÂÒ©--IVRT
    Í¸Æ¤ÖÆ¼ÁÌåÍâÆÀ¼Û°¸ÀýÆÊÎö-ijÈí¸à¼Á1ÀàÐÂÒ©IVRT.jpg            Í¸Æ¤ÖƼÁÌåÍâÆÀ¼Û°¸ÀýÆÊÎö-ijÈí¸à¼Á1ÀàÐÂÒ©IVRT.jpg
    Êͷſ켴ÏßÐÔбÂÊ´óµÄÅú´ÎÑùÆ·£¬£¬£¬£¬£¬£¬µ¥Î»ÀÛ»ýÊÍ·ÅÂʸߣ¬£¬£¬£¬£¬£¬Ò©Ð§Ð§¹ûÏÔ×Å£¬£¬£¬£¬£¬£¬IVRT¹ØÓÚ´¦·½É¸Ñ¡ÓÐÒ»¶¨ÕýÏòÖ¸µ¼ÒâÒ壬£¬£¬£¬£¬£¬Ò²¿ÉÓÃÓÚÐÂÒ©ÆðÔ´³ÉÒ©ÐÔɸѡÑо¿¡£ ¡£¡£¡£
  • 2¡¢ ijÒõµÀÓÃÄý½º¼Á--IVRT
    Í¸Æ¤ÖÆ¼ÁÌåÍâÆÀ¼Û°¸ÀýÆÊÎö-ijÒõµÀÓÃÄý½º¼Á-IVRT.jpg
  • 3¡¢ ijÈí¸à¼Á1ÀàÐÂÒ©¡ªIVPT
    DSCÍ¸Æ¤ÖÆ¼ÁÌåÍâÆÀ¼Û°¸ÀýÆÊÎö-ijÈí¸à¼Á1ÀàÐÂÒ©IVPT.jpg
    ÐÂÒ©Ñо¿Àú³ÌÖУ¬£¬£¬£¬£¬£¬¹ØÓÚ×÷ÓÃÓÚÕæÆ¤²ãµÄÒ©Î£¬£¬£¬£¬£¬¿Éͨ¹ýIVPTÖÐÆ¤·ô²ÐÁôˮƽÕâÒ»Ö¸±êÀ´¶Ô´¦·½¾ÙÐÐɸѡ£¬£¬£¬£¬£¬£¬Æ¤·ôÖлîÐÔÎïÖʲÐÁôˮƽµÄÆéá«£¬£¬£¬£¬£¬£¬¿É×÷ΪҩЧЧ¹ûÕýÏòµÄÖ§³Ö£»£»£»£»£»£»             ²î±ð´¦·½¼äƤ·ôÖлîÐÔÎïÖʲÐÁôˮƽÓвî±ð£»£»£»£»£»£»            Ìí¼Ó´ÙÉø¼Á£¬£¬£¬£¬£¬£¬ÄÜÌá¸ß»îÐÔÎïÖÊÔÚÆ¤·ôÖеIJÐÁôˮƽ£»£»£»£»£»£»            ²î±ð³§¼Ò͸ƤÒÇÆ÷Ö®¼äµÄЧ¹ûÓвî±ð£¬£¬£¬£¬£¬£¬´¦·½É¸Ñ¡½×¶Î£¬£¬£¬£¬£¬£¬ÐèÀο¿Í¸Æ¤ÒÇ¡£ ¡£¡£¡£
  • 4¡¢Ä³Äý½º¼Á·ÂÖÆÒ©¡ªIVPT
    Í¸Æ¤ÖÆ¼ÁÌåÍâÆÀ¼Û°¸ÀýÆÊÎö-ijÄý½º¼Á·ÂÖÆÒ©¡ªIVPT.jpgÍ¸Æ¤ÖÆ¼ÁÌåÍâÆÀ¼Û°¸ÀýÆÊÎö-ijÄý½º¼Á·ÂÖÆÒ©¡ªIVPT.png
    ÖØ¸´´ÎÊýT×ÔÖÆR²Î±ÈT/R%
    1155132117.42
    2118107110.28
    3162143113.28
    ƽ¾ùÖµN/A113.66
    SDN/A3.59
    90%ÖÃÐÅÇø¼äÏÂÏÞN/A100.00
    90%ÖÃÐÅÇø¼äÉÏÏÞN/A127.33
    90%ÖÃÐÅÇø¼ä£¨J£©100.00%~127.33%
    ÖØ¸´´ÎÊýT×ÔÖÆR²Î±ÈT/R%
    130522501122.03
    221231956108.84
    326582579103.06
    ƽ¾ùÖµN/A111.21
    SDN/A9.76
    90%ÖÃÐÅÇø¼äÏÂÏÞN/A98.96
    90%ÖÃÐÅÇø¼äÉÏÏÞN/A123.46
    90%ÖÃÐÅÇø¼ä£¨Q£©98.96%~123.46%
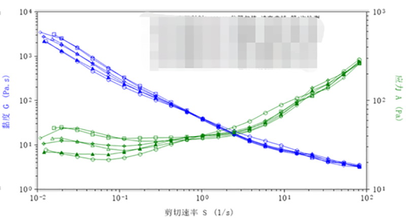
  • 5¡¢Ä³Èí¸à¼Á·ÂÖÆÒ©¡ªÁ÷±äѧ¡¢IVRT¼°IVPT
    Á÷±äÑ§ÌØÕ÷¡¢IVPT¼°IVRT±ÈÕÕЧ¹û£¬£¬£¬£¬£¬£¬»ù±¾ÄâºÏ¡£ ¡£¡£¡£
    °¸ÀýÆÊÎö-ijÈí¸à¼Á·ÂÖÆÒ©¡ªÁ÷±äѧ¡¢IVRT¼°IVPT.jpg            °¸ÀýÆÊÎö-ijÈí¸à¼Á·ÂÖÆÒ©¡ªÁ÷±äѧ¡¢IVRT¼°IVPT.jpg            °¸ÀýÆÊÎö-ijÈí¸à¼Á·ÂÖÆÒ©¡ªÁ÷±äѧ¡¢IVRT¼°IVPT.png
Ïà¹ØÊµÑéÊÒ
  • Ò©Îï͸ƤÀ©É¢ÊµÑéÒÇ
  • LCMS
  • Á÷±äÒÇ
  • Õæ¿Õ¾ùÖÊÈ黯»ú
Ïà¹ØÎÄÕÂ
¡Á
ËÑË÷ÑéÖ¤
µã»÷Çл»
¡¾ÍøÕ¾µØÍ¼¡¿¡¾sitemap¡¿